Экосистемные перестройки и эволюция биосферы. Вып. 4. М.: ПИН РАН, 2001. С. 29-46.
Балансовые модели -
характернейшая черта экологии сообществ рецентных организмов (Формозов, 1935; Лэк, 1957; Одум, 1975; Вольтерра, 1976; Свирежев, Логофет, 1978; Риклефс, 1979; Пианка, 1981; Гаузе, 1984; Свирежев, 1987; Бигон и др., 1989). Это путь познания функционирования, но не эволюции сообществ. Все типы необратимых эволюционных процессов, начиная с экологических кризисов, без которых немыслим филоценогенез, и кончая филогенезом отдельных членов (таксонов) сообщества, протекают не благодаря, а вопреки поддержанию экологического равновесия (Жерихин, 1979, 1987; Красилов, 1987, 1992; Каландадзе, Раутиан, 19926, 1993). В переживаемую нами эпоху антропогенно спровоцированного экологического кризиса постижение причин и последствий разнообразных экологических дисбалансов превращается в жизненную необходимость. Решение этой задачи немыслимо без построения теории эволюции сообществ (филоценогенеза), создаваемой в значительной мере трудами палеонтологов (Вахрушев, Раутиан, 1992, 1993; Барсков и др., 1996; Раутиан, Жерихин, 1997; Жерихин, 1997; Жерихин, Раутиан, 2000).
Отношения хищник-жертва -
одна из классических и наиболее разработанных проблем синэкологии, традиционно решаемая при помощи циклических балансовых моделей сопряженной динамики численности (Формозов, 1935; Лэк, 1957; Одум, 1975; Вольтерра, 1976; Свирежев, Логофет, 1978; Риклефс, 1979; Пианка, 1981; Свирежев, 1987; Бигон и др., 1989). До сих пор исследования в этой области велись в экологическом масштабе времени, когда эволюцией самих хищников и мертв за время наблюдения можно пренебречь.
В этой статье на материале палеонтологической летописи наземных тетрапод мы анализируем два примера отношений хищников и жертв в филогенетическом масштабе времени, когда их коэволюция становится главным фактором динамики их экологических отношений. В обоих случаях нарушения балансовых отношений в системе «хищник-жертва» повлекли за собой крупные биоценотические и фаунистические преобразования.
Хищник не может появиться прежде жертвы.
Поэтому не удивительно, что в истории биосферы хищники появляются позже прочих гетеротрофов (Розанов, 1986; Еськов, 2000). В начале своей эволюции будущая жертва, приступая к процессу прогрессивной специализации, имеет уже то преимущество, что отсутствует специфический для нее хищник. Напротив, хищник начинает специализацию по каждой очередной жертве лишь тогда, когда она оказывается достаточно специализированной(приспособленной и конкурентоспособной), чтобы набрать достаточную численность и биомассу. Только в этом случае специализация хищника к новой жертве оказывается энергетически оправданной.
Представление о возможном превосходстве жертвы по относительному уровню специализации хорошо согласуется с известными фактами недостаточной регуляторной роли хищника по отношению к жертве (Яхонтов, 1969; Вар-лей и др., 1978; Садыков, Бенсон, 1992; Шилова, 1993): экстраординарные вспышки численности (например, у многих фитофагов среди насекомых и мелких млекопитающих) особенно в годы совпадения благоприятных факторов среды, которые обычно заканчиваются экстраординарными спадами численности в результате перенаселения, следствием чего часто бывает распространение эпизоотии (яркий пример - грызуны в очагах чумы: Ралль, 1960; Ротшильд, Куролап, 1992) и/или истощение ресурсов (яркий пример - саранча Schistocerca: Щербиновский, 1952). Недостаточная мощность внешнего регулятора (Расницын, 1971, 1972) порождает в филогенетическом масштабе времени эндогенные регуляторы собственной численности: отстранение от размножения значительной части особей, снижение плодовитости и даже резорбция эмбрионов при росте плотности населения (Шварц, 1980; Садыков, Бенен-сон, 1992; Шилова, 1993) и т.п. Конкретные адаптации, обслуживающие эндогенную регуляцию численности, относятся к категории конгруэнции (Северцов, 1951) и являются продуктом индивидуального отбора по групповому признаку (Шмальгаузен, 1968, 1969, 1983; Берг, 1993). Как правило, потребность в таких адаптациях возникает у типичных жертв - фитофагов, часто располагающих слабо ограниченными пищевыми ресурсами растений.
Таблица 1. Таксономическая принадлежность, географическое и стратиграфическое распространение крупных немаммальных хищников

Таблица 2. Таксономическая принадлежность, географическое и стратиграфическое распространение млекопитающих, вторично усиливших свою хищную специализацию

Примером опережающей специализации жертвы по сравнению с хищником был изучен на материале палеогеновых и реликтовых фаун млекопитающих (Раутиан, Каландадзе, 1989; Каландадзе, Раутиан, 1995). Только после крушения в конце мела последнего в истории наземных (не морских) тетрапод доминантного (по терминологии Э.Олсона: Olson, 1966, 1984) блока крупных растительноядных и питавшихся ими хищных динозавров (Сенников, 1995) млекопитающие вновь приступили к формированию адаптивной зоны крупных тетрапод (Kalandadze, Rautian, 1995). Авангардом здесь были, естественно, крупные фитофаги. Отставание в специализации крупных хищников выражается прежде всего в их дефиците.
Он обнаруживается в фаунах палеоцена, эоцена, а отчасти и олигоцена всех материков. В фаунах Южной Америки (Kalandadze et al., 1996) и Австралии, изолированных с мела (Каландадзе, Раутиан, 1983, 1992а, 1993), сохраняется, соответственно, до плейстоцена и голоцена. Выражается дефицит в добавлении к хищным млекопитающим крупных хищников из других классов тетрапод (табл. 1) и млекопитающих, вторично усиливших специализацию к макрофагии - питанию жертвами сравнимого с собою и превосходящего их размера (табл. 2). Все они в соответствующих странах и в свое геологическое время (рис. 1) занимали место на вершине пищевой пирамиды и отсутствуют в современной фауне (исключением являются лишь крупные вараны на немногих островах Юго-Восточной Азии, на которых, вследствие изоляции и небольших размеров островов, дефицит крупных хищных млекопитающих сохраняется поныне). Их трофическую функцию в континентальных сообществах наземных тетрапод, начиная по крайней мере с миоцена в Северной Америке, Европе, Африке и Азии, с плейстоцена - в Южной Америке и в современности на всех материках (кроме Антарктиды), включая Австралию, выполняют крупные хищные млекопитающие, в том числе и человек в роли хищника.

Таким образом, длительное присутствие в фаунах и высокий уровень специализации перечисленных немаммальных хищников, а также вторичных хищников из числа первично всеядно-растительноядных групп, свидетельствует о том, что хищные млекопитающие палеогена не полностью покрывали ресурсы фитофагов, которые ныне они покрывают практически полностью, и вынуждены были уступить конкурентам из других классов значительную часть лицензии (по терминологии Я.И. Старобогатова: Старобогатов, 1984; Левченко, Старобогатов, 1986; Левченко, 1993) крупных хищников в сообществе наземных тетрапод.
В связанных между собой сухопутными мостами Северной Америке, Европе, Африке и Азии (Каландадзе, Раутиан, 1992а, 1993) дефицит крупных хищников начали восполнять еще Creodonta, начиная с позднего эоцена, когда они стали доминирующими хищными зверями крупного размера (Каландадзе, Раутиан, 19926, 1993). Большая часть бегающих нелетающих хищных птиц (Olson, 1985), хищных кондиляртр (Arctocyonia и Mesonychia) и все питающиеся на суше зифодонт-ные крокодилы (Langston, 1965; Buffetaut, 1982; Кэрролл, 1993) вымерли в этих странах еще в позднем эоцене, т.е. до появления большиства современных и ряда ископаемых семейств Caniformia и Feliformia. С появлением и широким распространением последних процесс вытеснения "дополнительных" хищников из других классов тетрапод, вторично хищных зверей и даже креодонтов ускоряется. К концу миоцена он оказался полностью завершенным. В Южной Америке восполнение дефицита крупных хищных зверей было связано с проникновением в нее в плио-плейстоцене Procyonidae, Ursidae, Mustelidae, Canidae и Felidae (Риклефс, 1979; Симпсон, 1983; Kalandad-ze et al., 1996). Плейстоценового вселения в Австралию собаки (Canis) и человека (Homo) на фоне общей аридизации материка (sic) оказалось достаточным для вымирания в голоцене всех самых крупных животных, в том числе и хищников: гигантского варана (Megalania), питающихся на суше зифодонтных крокодилов (Pristichampsinae) и дипротодонтных хищников (Thylacoleonidae).
Дефицитом хищников и опережающей специализацией фитофагов должно было также начинаться формирование пищевой пирамиды в древнейшем доминантном блоке крупных растительноядных и питающихся ими хищных рептилий позднего палеозоя. В пеликозавровом сообществе Еврамерийской зоогеографической области (Каландадзе, Раутиан, 1980, 1981, 1983) в среднем карбоне сначала появляются примитивные (Eothyrididae), а к самому концу периода - наиболее специализированные фитофаги этого сообщества - Edaphosauria, к которым в ранней перми добавляются Caseidae, Diadectidae и Bolosauridae. Крупные специализированные хищные рептилии этого сообщества (Limnoscelidae, Ophiacojontia и Sphenacodontia) появляются не раньше позднего карбона (Olson, 1966, 1984; Reisz, 1986; Кэрролл,1993).
Истоки доминантного блока терапсидной фауны, к сожалению, не представлены в палеонтологической летописи и пока скрываются от нас в недрах ранней перми Гондванской зоогеографической области (Каландадзе, Раутиан, 1980, 1981, 1983).
Становление пищевой пирамиды в динозавровом сообществе позднего триаса также начинается появлением фитофагов - Ornithishia.
Хищные динозавры (Theropoda) появляются с небольшим запозданием.
Острый дефицит палеонтологических документов о становлении пищевой пирамиды в доминантных блоках соответствующих сообществ наземных позвоночных не позволяет обсудить их так подробно, как кайнозойских.
Картина опережающей специализации жертв должна также обнаружиться в период становления пищевой пирамиды в субдоминантном (по терминологии Э.Олсона: Olson, 1966, 1984) блоке мелких тетрапод конца поздней юры - начала раннего мела. Multituberculata -древнейшие эффективные фитофаги среди тетрапод мелкого размерного класса (Раутиан, 1995; Kalandadze, Rautian, 1995) - появляются во второй половине поздней юры. Главным препятствием для подробного изучения этой истории в настоящее время являются трудности в разграничении трофических групп плотоядных тетрапод этого времени. Необходимо выделить вновь появляющийся компонент хищников (млекопитающих, ящериц и появляющихся в раннем мелу древнейших змей), специализирующихся главным образом по более крупной и вязкой позвоночной, а не мелкой и хрупкой беспозвоночной жертве, как это было до появления пищевой пирамиды в субдоминантном блоке мелких тетрапод. По-видимому, первыми к эксплуатации ресурса мелких эффективных фитофагов приступили Triconodontidae (А.К. Агаджанян, устное сообщение) не позже начала раннего мела.
Существует известное подобие отношений «хищник-жертва» и «продуцент-консумент первого порядка» (Одум, 1975; Пианка, 1981; Бигон и др., 1989). Не случайно хищником иногда называют «свободно живущий организм, питающийся другими животными организмами или растительной пищей» (Дажо, 1975, с. 188). Поэтому интересен факт опережающего развития фитопланктона, который впервые появился в палеонтологической летописи раннего рифея(Соколов, Ивановский, 1985; Соколов, Федонкин, 1988; Соколов, 1997). Однако предполагаемое выедание фитопланктона личинками Metazoa начинает сказываться на структуре его размерного и морфологического разнообразия, как показал М.Б.Бурзин (1987, 1994), лишь начиная с позднего рифея.
Место крупнейших хищников предки млекопитающих - териодонты - уступили архозаврам еще в начале триаса (Сенников, 1995). Последний крупный хищный териодонт - Cynognathus водился в Южной Африке на рубеже раннего и среднего триаса (Cynognathus Zone) (Каландадзе, Раутиан, 2001). Мезозойские млекопитающие и их непосредственные триасовые предки избежали конкуренции с архозаврами - крупными быстро передвигающимися хищниками (Сенников, 1995) -путем перехода в субдоминантное сообщество мелких потребителей наземных беспозвоночных (Olson, 1966, 1984). Мелкие млекопитающие вошли в категорию экологических доминантов не позже второй половины поздней юры, когда появились Multituberculata - древнейшие эффективные фитофаги среди мелких тетрапод (Раути-ан, 1995; Kalandadze, Rautian, 1995). Только гибель доминантного сообщества (гильдии) крупных хищных и растительноядных динозавров в результате мел-палеогенового экологического кризиса открыла млекопитающим путь в крупный размерный класс (Каландадзе, Раутиан, 1993). Однако длительный филогенез в составе субдоминантного сообщества затруднил возвращение зверей к роли крупных хищников палеогена в большей степени, чем к роли крупных фитофагов. Лишь в неогене, как было показано выше, отставание специализации крупных хищных млекопитающих было преодолено и их дефицит был восполнен на большей части суши.
Это прежде всего было обусловлено тем, что адаптивная радиация крупных хищных млекопитающих не могла начаться до появления достаточно многочисленных жертв - крупных фитофагов. Однако только этого обстоятельства безусловно недостаточно для объяснения столь длительного дефицита и отставания в специализации крупных хищных зверей. Важным представляется и различие в требованиях к комплексности адаптации (Иорданский, 1990, 1994) у хищников и их жертв - фитофагов (рис. 2).
Адаптация фитофага.
Любое отдельно взятое приспособление фитофага (в скорости, экономичности и эффективности локомоции, захвате, переработке и утилизации пищи), особенно в условиях ослабленного контроля со стороны отстающих в специализации хищников, позволяло повысить экологическую валентность (прежде всего конкурентоспособность). Быстрое увеличение размеров (пассивная защита), облегченное практически неисчерпаемыми ресурсами доступной пищи, позволяло филогенетически продолжительное время противостоять преследованию гомойо-термных хищников, максимальный размер которых ограничен «расточительным» метаболизмом, требующим большого пищепотребления, сопряженного с неоправдывающимися энергозатратами на добывание ограниченной, дисперсной и труднодоступной животной пищи. Хищные динозавры с их инерционной теплокровностью и гораздо менее «расточительным» метаболизмом не имели столь сильных размерных ограничений (Раутиан, 1990, 1995). Преимущество фитофагов сказалось в скорости прогрессивной специализации, поскольку чем более односторонней является адаптация, тем быстрее ее можно приобрести (Расни-цын, 1986, 1987), хотя это и чревато быстрым накоплением инадаптивного груза - разного рода издержек достигутого уже уровня специализации, ограничивающих перспективы дальнейшей адаптивной эволюции таксона в одном, нескольких или любых направлениях (Раутиан, 1988, 1995). Тактическая опасность последнего в экологическом масштабе времени понижается в условиях ослабленного контроля со стороны хищников, но она же, облегчая рост инадаптивного груза в филогенетическом масштабе времени, таит в себе стратегическую опасность для перспектив будущей эволюции группы.
Адаптации хищника.
Быстро приспосабливающиеся и уходящие в крупный размерный класс жертвы могут на какой-то период времени даже сузить кормовую базу хищника, создавая лишь предпосылку его прогрессивной специализации, которую, впрочем, не так легко реализовать. Размерные ограничения, большие и постоянно возрастающие в условиях опережающей специализации фитофагов энергозатраты на пищ-едобывание вынуждают компенсировать их специфическими адаптациями. Заметный рост специализации и экологической валентности хищника дает только достаточно комплексная, а значит и сравнительно дорогая и медленно приобретаемая адаптация (Расницын, 1986, 1987; Раутиан, 1988). Доступное увеличение размеров, скорость, экономичность и эффективность локомоции, совершенствование средств нападения дают заметный эффект только в комплексе. Поэтому на начальном этапе освоения крупного размерного класса хищники отстают по темпу прогрессивной специализации от своих жертв.
Причина восполнения дефицита крупных хищников.
Меньшая биомасса, численность и большая зависимость хищника от состояния популяций жертв делают его более чувствительным и филогенетически реактивным по отношению к состоянию последних (Риклефс, 1979; Одум, 1975; Пианка, 1981; Бигон и др., 1989). В сочетании с более комплексной и потому, при прочих равных условиях, более универсальной (менее односторонней) адаптацией возникают предпосылки восстановления паритета уровней специализации хищников и их жертв. У крупных млекопитающих паритет окончательно восстанавливается в неогене, а в существенных чертах - уже в олигоцене (Раутиан, Каландадзе, 1989; Каландадзе, Раутиан, 19956). Действительно, в современных биоценозах наблюдается приблизительный паритет уровней специализации жертв и специфических для них хищников. Этот паритет, сложившийся в процессе продолжительной коэволюции хищников и жертв, обеспечивает устойчивость (квазистационарность) их отношений в экологическом масштабе времени, благодаря эффективной взаимной регуляции состояния их популяций, прежде всего численности (Формозов, 1935; Лэк, 1957; Одум, 1975; Воль-терра, 1976; Свирежев, Логофет, 1978; Риклефс, 1979; Пианка, 1981; Свирежев, 1987; Бигон и др., 1989).

Рис. 2. Эвристическая модель опережающей специализации фитофага - жертвы и настигающего ее хищника, сперва восстанавливающего паритет уровня специализации с жертвой, а затем и опережающей ее по уровню специализации. Стрелки показывают причинные экологические связи, действующие в экологическом и в филогенетическом масштабах времени.
Косвенно в пользу предложенной реконструкции свидетельствует тот факт, что принцип инадаптивной специализации был сформулирован В.О. Ковалевским (1956, 1960) именно на материале вымерших копытных, а наиболее яркие примеры, подтверждающие этот принцип, мы находим в филогенезе фитофагов. С другой стороны, И.И. Шмальгаузен (1968, 1969, 1983) указывал, что роль активного охотника является самой универсальной преадаптацией к освоению новых адаптивных зон, а в условиях агрессивной биотической среды, кроме того, - и к прогрессивной эволюции.
Используя преимущества большей экологической чувствительности и большей филогенетической реактивности, хищники могут опережать своих жертв по уровню специализации. Ближайшим к нам по времени примером такого рода может служить человек в роли истребителя диких копытных (Пучков, 1991-94,2001;Жегалло и др., 2001). На материале истории доминантного блока крупных рептилий мезозоя пример опережающей специализации хищных текодонтов описал один из нас (Сенников, 1995).

Рис. 3. Стратиграфическое распространение и зоны относительного доминирования (двойная линия) крупных рептилии доминантного блока в мезозое: фитофагов-жертв и питающихся ими хищников. Пунктир - распространение, основанное на ненадежных определениях.
Архозавры появились
в палеонтологической летописи на рубеже перми и триаса в качестве быстро передвигающихся хищников (Bakker. 1971;Charig, 1972; Bonaparte, 1984; Parrish, 1986). Именно эта стратегия адаптации явилась первопричиной биологического прогресса (в смысле А.Н. Северцова, 1939, 1967), достигнутого ими на протяжении мезозоя (Charig, 1984; Сенников. 1995; Каландадзе, Раутиан, 1999).
Переход в крупный размерный класс сопряжен с возрастанием требований к уровню специализации многих функциональных систем
организма (Холдейн, 1976), прежде всего опорно-двигательного аппарата (Шмидт-Ниель-сен, 1982, 19(S7). Значительные успехи в совершенствовании скоростной наземной локомоции крупные тетраподы достигают лишь при параса-гиттальной постановке конечностей (Bakker, 1971; Charig, 1972; Bonaparte, 1982, 1984). Доминантный блок сообщества тетрапод поздней перми, представленный крупными терапсидами, был лишен форм с совершенной парасагиттальной постановкой конечностей (Кетр, 1985). Это были крупные, но сравнительно медленноходные жи-зотные (Kalandadze, Rautian, 1995; Сенников, 1995), неспособные к бегу - безопорной фазе локомоции (Суханов, 1968; Гамбарян, 1972; Кузнецов, 1999а,б). Крупные пермские хищники шагом преследовали свои жертвы, а те шагом же спасались от них (Каландадзе, Раутиан, 2001).
Неудивительно, что внедрение (вероятно, через посредство интерзональных экологических лакун; см. модель биотоценогенеза: Каландадзе, Раутиан, 19926, 1993; Вахрушев, Раутиан, 1993; Раутиан, Жерихин, 1997; Жерихин, 1997; Жерихин, Раутиан, 2000) архозавров - первых быстро передвигающихся крупных хищников - в пермское сообщество сравнительно тихоходных форм вызвало в нём большие перемены, которые мы теперь рассматриваем в ряду последствий экологического кризиса в сообществе наземных тетрапод на рубеже палеозоя и мезозоя (Olson, 1966, •-4: 1989; Каландадзе, Раутиан, 1993, 1994; Benton, 1995). Ниже приводятся лишь важнейшие из них.
Териодонты (Gorgonopsia, Whaitsioidea и Procynosuchia) безраздельно господствовавшие в адаптивной зоне хищных тетрапод суши второй лоловины поздней перми, в течение триаса полностью уступили архозаврам адаптивную зону крупных хищников. Последний крупный хищный териодонт Cynognathus жил на рубеже раннего и среднего триаса. Почти все триасовые териодонты крупных и даже средних размеров несут недвусмысленные (Bauriidae, Chiniquodontidae, Diade-modontidae, Trirachodontidae, Traversodontidae), подчас очень глубокие (Tritylodontidae) черты специализации к фитофагии. Именно среди триасовых животных этого экологического профиля мы находим формы с наиболее парасагиттальной постановкой конечностей среди всех зверообразных (Татаринов, 1974, 1976). Очевидно, локомоторные адаптации хищников заставляли жертв специализироваться в том же направлении (Kalandadze, Rautian, 1995). Напомним, что во второй половине поздней перми в этой адаптивной зоне безраздельно господствовали аномодонты (Кэрролл, 1993), которые, так и не освоив парасагит-тальную постановку конечностей и быстрое передвижение, в триасе представлены всего двумя семействами. Это короткоживущее (первая половина раннего триаса), но успевшие расселиться по всей Гондванской зоогеографической области (в смысле Н.Н. Каландадзе и А.С. Раутиана, 1980, 1981, 1983) Lystrosauridae и сменившие их во второй половине раннего триаса Kannemeyeridac - самые крупные среди аномодонтов (Кэрролл, 1993), размер которых очевидно выполнял роль пассивной защиты (Kalandadze, Rautian, 1995). Наконец, триас - единственная эпоха в истории наземных тетрапод, когда имеет место массовая «мода» на вторичное уменьшение размеров и переход к питанию преимущественно беспозвоночными (Каландадзе, Раутиан, 1994). Эти процессы очевидно также были связаны с уходом из-под пресса крупных быстропередвигающихся текодонтных хищников (Kalandadze, Rautian, 1995 б).
Достаточно вспомнить: 1) первые недвусмысленные свидетельства начала становления современных отрядов амфибий (Triadobatrachus, Epicris, PTriassurus), для которых миниатюризация - характернейшее направление специализации (Каландадзе, Раутиан, 1983, 1993); 2) мелких териодонтов (Dromatheriidae, Tritheledontidae, большая часть триасовых Scaloposauria), среди которых были и предки млекопитающих (Татаринов, 1974, 1976); 3) древнейших крокодилов (Proto-suchia, Notosuchia), четвероногие предки (Pseudo-suchia) которых не выдержав очевидно конкуренции со своими бипедальньши родственниками (Ornithosuchia) (Сенников, 1995), были «опрокинуты» не только в воду, но и в мелкий размерный класс (Каландадзе, Раутиан, 1994); 4) древнейших и палеонтологически малоизвестных дре-волазающих архозавров (Megaloncosaurus, Sclero-mochlus, Protoavis), среди которых были предки птерозавров и птиц (Каландадзе, Раутиан, 1993). Наконец, вторичному измельчанию отведена ключевая роль в нашей модели становления основ го-мойотермии (Раутиан, 1990, 1995а; Каландадзе, Раутиан, 1995 б). И действительно, уже из карния известны древнейшие находки млекопитающих и манирапторных динозавров (Protoavis), среди которых были предки птиц (Gauthier, 1986).
Однако вернемся к самим архозаврам. Они быстро становятся доминирующими крупными хищниками суши.
Совершенствование локомоции триасовых текодонтов имеет два
важнейших направления: квадрупедальное (Pseudosuchia) и бипе-дальное (Ornithosuchia) (Bonaparte, 1984; Сенников, 1995). К концу этого периода Pseudosuchia уступили своим конкурентам всю адаптивную зону крупных быстро передвигающихся наземных хищников (рис. 3). Последняя изолированная находка наземного (не водного) члена этой группы относится к поздней юре (Hallopus). Сохранившиеся потомки квадрупедальной линии специализации, дожившие до настоящего времени, в позднем триасе были «опрокинуты» в воду и, кроме того, нашли убежище от конкуренции с крупными архозаврами в мелком размерном классе (Сгосо-dylia) (Раутиан, 1990, 19956). Действительно, в основании адаптивной радиации крокодилов должны находиться некрупные формы типа Protosuchia и Notosuchia (Ефимов, 1988). При этом естественно изменилось и направление локомоторной специализации, хотя черты первоначальной парасагиттальной постановки конечностей их триасовых предков сохранились у современных крокодилов в форме двухрежимной постановки конечностей (Сенников, 1995; Кузнецов, Сенников, 1999): латеральной (плавание и медленный симметричный аллюр) и частично парасагиттальной (быстрый симметричный аллюр и даже примитивный галоп).

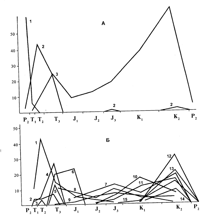
Рис. 4. Динамика родового разнообразия основных экологических типов хищников (А) и фитофагов-жертв (Б) среди крупных рептилии доминантного блока на протяжении мезозоя. А. Хищники: 1. крупные Theriodontia (Gorgonopidae, Whitsioidea и Cynognathus) 2. крупные четвероногие Thecodontia - Pseudosuchia (Proterosuchia, Rauisuchia, Sphenosuchia) и питающиеся на суше зифодонтные крокодилы - Baurusuchidae; 3. большей частью крупные факуль-тативно-бипедальные текодонты (Ornithosuchia) и облигатно-бипедальные Saurischia - Theropoda и Deinonycho-sauria. Б. Фитофаги: 1 - довольно крупные Theriodontia (Bauriidae, Tritylodontoidea, Chiniquodontidae); 2 - Rhyncho-sauria (Rhynchosauridae); 3 - Lotosauria (Ctenosauriscidae); 4 - Dicynodontia средних и крупных размеров: Lystrosauridae и Kannemeyeridae; 5 - Aetosauria (Stagonolepididae); 6 - Prosauropoda (Anchisauridae, Melanorosauridae и Blikanosauridae); 7 - Sauropoda (Cetiosauridae, Titatosauridae, Diplodocidae, Brachiosauridae, Camarasauridae и Euchelo-podidae); 8 - небольшие Ornithopoda (Heterodontosauridae, Fabrosauridae, Dryosauridae и Hypsilophodontidae); 9 - Stegosauria (Scelidosauridae и Stegosauridae); 10 - Iguanodontidae (incl. Camptosaurinae); 11 - Ankylosauria (Nodosau-ridae и Ankylosauridae): 12 - Ceratopsia (Psittacosauridae, Protoceratopsidae, Centrosauridae); 13 - Hadrosauridae; 14 - Segnosauria (Therizinosauridae incl. Segnosairinae); 15 - Pachycephalosauria (Homalocephaliadidae и Pachycephalosauridae).
К началу юры закончился процесс захвата адаптивной зоны крупных быстро передвигающихся хищников бипедальными Theropoda. Не позже раннего мела к ним добавились Deinonychosauria, которых мы относим к отдельному подотряду Maniraptora отряда Saurischia. Иными словами, если мы возьмем основную бипедальную линию хищных архозавров, первые члены которой известны из раннего триаса (Euparkeriidae), а последние и наиболее специализированные из позднего мела (Tyrannosauridae, Ornithomimidae. Dromaeosauridae, Avimimidae), то обнаружим непрерывную прогрессивную специализацию крупных хищников, в первом приближении одной широко понимаемой жизненной формы (The Dinosauria, 1990; Кэрролл, 1993) (рис. 3 и 4). Крупных отклонений от этой основной стратегии филогенеза хищных бипедальных архозавров было всего три. Они породили все крупные стволы растительноядных динозавров. В позднем триасе ответвились Ornithischia, имевшие, возможно, независимых от Saurischia текодонтных предков, и Sauropodomorpha (Prosauropoda + Sauropoda), имевших,очевидно,более близких текодонтных предков с Theropoda (Gauthier, 1986). Не позже раннего мела от общего ствола Deinonychosauria отделился ствол Segnosauria (The Dinosauria, 1990).
В стане жертв мы видим прямо противоположную картину. Доминирующие типы жертв и стратегий их адаптации непрерывно менялись в течение всего мезозоя (Romer, 1962; Olson, 1966; Bonaparte, 1982; Benton, 1983 a,b, 1990; Раутиан, Сенников, 1995) (рис. 3 и 4).
Хищные уже довольно быстро передвигающиеся текодонты самого конца перми (вязниковский горизонт Русской платформы; см.: Ивахненко и др., 1997) - начала раннего триаса (зона Lystrosaurus) встречаются с дицинодонтами - жертвами, унаследованными от доминантного блока пермских терапсид (Сенников, 1995). Большая часть пермского разнообразия дицинодонтов вымирает в конце перми (Olson, 1966, 1989; Кэрролл, 1993). Lystrosauridae уступают место более крупным и специализированным Kannemeyeridae, первым крупным фитофагам среди диапсид - Rhynchosauria (Romer, 1962; Chatterjee. 1974; Benton, 1983a,b; 1990), а также гомфодонтным цннодонтам (Diademodontidae, Trirachodontidae, Traversodontidae), Chiniquodontidae, растительноядным бауриаморфам (Bauriidae) уже во второй половине раннего триаса. Последние сходят со сцены уже в среднем триасе. Остальные сохраняются до конца позднего триаса, причем в карнии к ним добавляются Aetosauria - древнейшие фитофаги среди архозавров (Charig, 1984;Benton,1983с; Кэрролл, 1993). Все перечисленные выше группы жертв, по крайней мере в нории, переходят в разряд второстепенных, а основными становятся Ргоsauropoda и древнейшие группы Ornithopoda -Fabrosauridae и Heterodontosauridae (Charig, 1984; The Dinosauria, 1990; Кэрролл, 1993).
Удивительной особенностью древнейших растительноядных динозавров был слабый челюстной аппарат: небольшая аддукторная полость и, следовательно, небольшая масса челюстных аддукторов, невыгодное их расположение для функции постоянного перетирания пищи во рту и слабый зубной аппарат, еще несущий (особенно у Heterodontosauridae) следы хищной специализации их текодонтных предков. По параметрам челюстного аппарата они уступали своим экологическим предшественникам: дицинодонтам Lystrosauridae и Kannemeyeridae (Crompton, Hotton, 1967), териодонтам-фитофагам и Rhynchosauria. Главным преимуществом древнейших растительноядных динозавров была унаследованная от их хищных предков способность к быстрой локомо-ции. Этот факт, хотя и косвенно, но недвусмысленно свидетельствует о том, что главной особенностью отношений хищник-жертва уже в триасе была опережающая локомоторная специализация хищников (Charig, 1984; Bonaparte, 1982). Причем превосходство оказалось достаточным, чтобы столь важные для фитофагов органы захвата и первичной обработки пищи отступили на второй план по сравнению с ролью локомоторной системы (Crompton, Atteridge, 1986).
После вымирания текодонтов, дицинодонтов и ринхозавров в конце триаса, в начале ранней юры динозавры практически полностью захватили весь доминантный (Olson, 1966, 1984) блок сообщества наземных тетрапод (Каландадзе, Раути-ан, 1993). Исключение составляют лишь наиболее специализированные (прежде всего по челюстному аппарату) растительноядные цинодонты - Tritylodontidae, появившиеся в конце позднего триаса (норий) и дожившие до поздней юры, но многочисленные только в ранней юре (Кэрролл, 1993). К указанным выше Prosauropoda, Fabrosauridae и Heterodontosauridae в это время добавляются Hypsilophodontidae, древнейшие Thyreo-phora - Scelidosauridae, представленью лишь немногими находками, и древнейшие Sauropoda - Cetiosauridae (The Dinosauria, 1990).
Однако преимущества локомоторной специализации новой формации жертв оказались недолговечными. Со второй половины ранней юры (плинсбах - тоар) наступает крупнейший в истории тетрапод экологический кризис, продолжавшийся до первой половины поздней юры (оксфорд) включительно (Каландадзе, Раутиан, 1993, 1993; Benton, 1986, 1995; Little, Benton, 1995). В эту эпоху на смену фитофагам позднего триаса -начала ранней юры не приходит ни одна группа достаточно многочисленных и разнообразных фитофагов, хотя в эпоху кризиса появляются древнейшие, но крайне немногочисленные Stegosauridae и Nodosauridae.
Иными словами, общее резкое сокращение разнообразия крупных фитофагов в эпоху кризиса невозможно объяснить их конкурентным вытеснением. Предположению о решающей роли хищников в этом процессе, на первый взгляд, противоречит резкое сокращение и их разнообразия в эпоху кризиса, хотя в это время к триасовым по времени происхождения Podokesauridae seu Coelophysidae со второй половины ранней юры добавляются фрагментарные находки Megalosauridae. Но если задуматься, именно такую картину должен наблюдать палеонтолог в случае, когда хищник кардинально подрывает ресурсы своих жертв. Действительно, резкое снижение разнообразия и численности (биомассы) жертв, судя по крайней бедности ископаемых остатков при широкой географии находок (Каландадзе, Раутиан, 1983, 1993) должно было неизбежно привести к резкому падению численности, а в филогенетическом масштабе времени - и разнообразия хищников. Таким образом, превосходство хищников над жертвами по уровню относительной специализации, прежде всего локомоторной, могло оказаться важной причиной юрского экологического кризиса, по крайней мере в доминантном блоке сообщества наземных тетрапод.

Рис. 5. Эвристическая модель опережающей специализации хищника как первопричины исторической смень жертв: появления новой жертвы и замещения ею прежней. Стрелки имеют тот же смысл, что и на рис. 2.
После юрского кризиса доминантный блок сообщества наземных тетрапод остался динозавровым (Olson, 1966; Каландадзе, Раутиан, 1993). Главным препятствием для прорыва млекопитающих в крупный размерный класс в это время, очевидно, явилось отсутствие среди них достаточно эффективных фитофагов (Раутиан, 19956; Каландадзе, Раутиан, 1996). Последние (Multituberculata) появляются в палеонтологической летописи лишь первой послекризисной фауны второй половины поздней юры (кимеридж) (Кэрролл, 1993). Кроме того, их первоначальная семеноядность (низкая и сезонно непостоянная биомасса кормов) препятствовала переходу в крупный размер.
В мелу преимущество опережающей специализации хищников, очевидно, продолжало возрастать. К раннем мелу относятся последние достоверные находки уже немногочисленных Fabrosauridae. Расцвет Iguanodontia (Hypsilophodontidae, Dryosauridae, Iguanodontidae) приходится на вторую половину поздней юры - первую половину раннего мела. Это была последняя по времени и наиболее продвинутая группа Ornithischia, у которой активные, прежде всего локомоторные средства защиты от преследования хищников еще играли существенную роль, хотя наличие недвусмысленных адаптации к плаванию указывают на использование воды в качестве пассивной защиты The Dinosauria, 1990).
Все остальные группы жертв позднего мезозоя использовали более или менее развитые средства пассивные защиты, приобретение которых, как правило, сопряжено с быстрым ростом инадаптивного груза. Это прежде всего все вторично четвероногие группы. Уже к концу юры в категорию доминантов вышли Sauropoda (Diplodocidae, Brachio-sauridae, Euhelopodidae, Camarasauridae, Titanosau-ndae), использовавшие гигантские размеры и воду в качестве средств пассивной защиты, и Stegosauridae, защищенные шипами и/или костными пластинками. Их расцвет закончился в раннем мелу. Панцирные диназавры (Ankylosauria) возникли в юре, но достигли расцвета лишь к концу раннего Nodosauridae) и в позднем мелу (Ankylosauridae). Последними к четвероногой локомоции, в позднем мелу перешли Ceratopsia (Protoceratopsidae и Centrosauridae), обладавшие мощными костными воротниками и достигшие огромных размеров. Среди вторично четвероногих пассивно защищенных форм они, кроме того, приобрели наиболее совершенный локомоторный аппарат (The Dinosauria, 1990).
Среди поздних растительноядных динозавров первичный для Dinosauromorpha бипедальный способ передвижения сохранили только Hadrosauridae, использовавшие в качестве пассивной защиты воду, и сравнительно немногочисленная группа Pachycephalosauria, также обладавшая элементами пассивной защиты (The Dinosauria, 1990).
Все рассмотренные в предыдущем разделе факты, хотя и косвенно, но недвусмысленно свидетельствуют о превосходстве хищных динозавров над их жертвами по уровню относительной специализации. Причем это превосходство сохранялось в течение всего мезозоя, т.е. в течение даже филогенетически продолжительного времени.
Каковы же условия и причины, допускающие возможность опережающей специализации хищника? Часть необходимого пути для ответа на этот вопрос мы уже преодолели, рассматривая причины первоначальной опережающей специализации жертвы и последующего преодоления хищником своего отставания.
Однако возможность опережающей специализации хищника требует для своей реализации ряда дополнительных условий (рис. 5). Хищник, подрывающий ресурсы собственных жертв в экологическом масштабе времени, обречен (Одум, 1975; Риклефс, 1979; Пианка, 1981; Бигонидр., 1989). Но учитывая его высокое положение в пищевой пирамиде (низкую численность и биомассу по сравнению с жертвой), этот процесс может носить, даже в условиях опережающей специализации хищника, характер плавного, медленного и мягкого нарастания экологического пресса, растягивающегося на филогенетически значимые отрезки времени. Действительно, превосходства по локомоторной специализации архозавры достигли уже в начале триаса. Но лишь в начале юры это спровоцировало крупный экологический кризис. по крайней мере в доминантном блоке сообщества тетрапод, хотя вызвало окончательное крушение этого блока лишь на исходе мела.
Как только процесс подрыва пищевых ресурсов растягивается на филогенетически значимое время, он освобождает путь биологического прогресса (в экологическом времени - повышения численности, биомассы и расширения ареала, а в филогенетическом времени - повышения таксономического и экологического разнообразия) для фитофагов иных типов (если угодно, фитофагов следующего поколения) вследствие снижения конкурентного давления в их адаптивной зоне. Понижение численности жертв предыдущего поколения выглядит для их конкурентов как освободившиеся ремурсы. Чем сильнее стратегия адаптации (в частности, стратегия противостояния хищнику) отличается от экологически угнетаемой основной жертвы, тем более процесс становления фитофагов нового поколения будет облегчен и отсутствием специфического для них хищника. При этом, каждый шаг новых фитофагов по пути биологического прогресса, увеличивает, с одной стороны, их привлекательность для хищника, а с другой - конкурентное давление на основную и без того экологически угнетенную жертву. Все это в дополнение к отсутствию оперативной реакции жертвы на прогрессивную адаптацию хищника (о которой написано выше) способствует накоплению инадаптивного груза.
Следующий шаг в рассмотренных выше условиях - переход хищника на новую основную жертву. Единственное требование - хищник не должен быть крайним олигофагом. Последнему в общем случае препятствуют: высокое положение хищника в пищевой пирамиде, ограниченность кормовой базы и труднодоступные жертвы, требующие для их добычи значительного бюджета времени и энергии, высокие требования к комплексности адаптации, препятствующие олигофа-гии, вследствие накопления инадаптивного груза. Для хищных млекопитающих ограничение размеров служит дополнительным гарантом против ограничения лишь крупноразмерными жертвами. Отсюда феномен регулярного, нередко продолжительного использования дополнительных жертв наряду с основной, специфической для данного хищника. Примером такого рода может служить питание волка мышевидными грызунами и лягушками в условиях дефицита диких копытных (Мо-уэт, 1993). Но будучи макрофагом по характеру своей основной специализации, на таких кормах волк никогда не достигает высокой биомассы и численности (Волк, 1985; Рябов, 1989).
Можно возразить, что хищник все же не может быть главной причиной вымирания жертвы, поскольку переход на новую основную жертву должен произойти задолго до вымирания предыдущей. Во-первых, с этим возражением нельзя не согласиться: хищник как таковой не может быть причиной вымирания жертвы. Во-вторых, относительная полифагия хищника, позволившая ему сменить прежнюю основную жертву на новую, является одновременно причиной, по которой, особенно превосходящий по уровню специализации (например локомоторной) хищник не прекратит преследование прежней жертвы даже тогда, когда она перестанет быть основной. В-третьих, как уже отмечалось, новая жертва смогла стать основной только благодяря ее биологическому прогрессу, без которого немыслим рост ее привлекательности для хищника. А это, в свою очередь, немыслимо без роста специализации и конкурентоспособности. Следовательно, хищник и его новая основная жертва берутся за вытеснение прежней жертвы вдвоем. В-четвертых, в филогенетическом масштабе времени биологический регресс прежней жертвы никогда не может быть исчерпывающе объяснен внешним экологическим давлением на нее, будь то хищник или конкурент. Необходимо объяснить, почему она не способна на адекватную этому давлению адаптивную реакцию. Обобщенным выражением ограничения будущих эволюционных возможностей («филогенетического потенциала»), очевидно ограничения всегда внутреннего, по определению, является инадаптивный груз. Наиболее общими причинами быстрого роста инадаптивного груза являются: 1) высокая скорость прогрессивной специализации в условиях запрета на параллельную (одновременную) оптимизацию многих функциональных систем целого, вытекающего из принципа адаптивного компромисса (Расницын, 1986, 1987; Раутиан, 1988, 1995а; Каландадзе, Раутиан, 1993); 2) односторонняя оптимизация немногих непосредственно оптимизируемых - эктосоматических - функциональных систем ценой недостаточной координации с другими - эндосоматическими (по терминологии А.Н Северцова, 1939) - функциональными системы (Шмальгаузен, 1968, 1983; Раутиап, 1988) (примером может быть односторонняя локомоторная специализация ранних Ornithopoda в сочетании со слабым челюстным аппаратом). Оба этих обстоятельства - характерные свойства жертв, являются следствием низкой чувствительности и отсутствия оперативной адаптивной реакции жертвы на рост специализации хищника.
Высокий порог устойчивости и низкая чувствительность жертвы по отношению к хищнику неизбежно приводят к тому, что когда хищнику в результате продолжительного филогенеза, наконец, удается взломать этот порог, жертва обычно вынуждена искать адаптивный ответ в более или менее «пожарном порядке». Высокий темп ответной реакции тянет за собой односторонную узкую специализацию, быстрый рост инадаптивного груза и в результате - потерю дальнейшей эволюционной перспективы (филогенетического потенциала). Напротив, требование комплексной адаптации (в смысле Н.Н. Иорданского, 1990, 1994) препятствует накоплению инадаптивного груза у хищника (Раутиан, Сенников, 1995).
Таким образом, постоянная смена жертв в доминантном блоке сообщества тетрапод мезозоя должна иметь в своей основе несколько взаимосвязанных причин: 1) опережающая специализация хищника плавно подрывает ресурсы специфических для него жертв; это, в свою очередь, 2) облечает выход следующего поколения жертв на экологическую арену, создавая тем самым дополнительное конкурентное давление на жертвы предыдущего поколения и одновременно спасает хищника от истощения им же самим собственной кормовой базы, а следовательно, и ослабления его воздействия на жертвы предыдущего поколения; 3) совместные действия хищника и конкурентов могут вызвать вымирание предыдущего поколения жертв лишь при наличии значительного инадаптивного груза, препятствующего оперативному формированию ответной адаптивной реакции последних. Иными словами, в этих условиях хищник не оказывается непосредственной причиной вымирания и смены жертв. Но его опережающая специализация оказывается первопричиной и подрыва ресурсов, и инадаптивной специализации прежней жертвы, и выхода на арену новой жертвы, поддерживающей хищника и угнетающей прежнюю жертву.
Однако и это не исчерпывает всех условий. Все описанные выше процессы благополучно продолжаются лишь до тех пор, пока на место каждой предыдущей жертвы оперативно является новая. Если этого не произойдет, то подорвав собственные пищевые ресурсы, хищник останется «у разбитого корыта». Очевидно, подобного рода события имели место накануне экологических кризисов в сообществе наземных тетрапод ранней-средней юры и рубежа мела и палеогена. По-видимому, в течение триаса были перебраны все наличные группы, способные с необходимой оперативностью принимать на себя роль ведущих фитофагов доминантного блока сообщества (Benton, 1983 a,b, 1990; Charig, 1984; Crompton, Atteridge, 1986). Косвенно в пользу этого предположения свидетельствует тот факт, что последними в ряду триасовых фитофагов оказались Ornithischia -производные первично хищной группы динозав-роморфных текодонтов. Претендентов на роль жертвы превосходящего по уровню специализации хищника уже не хватало. Их пришлось рекрутировать из свой среды.
Юрский кризис не вызвал вымирания динозавров по двум причинам: 1) млекопитающие, как уже упоминалось, не были готовы сформировать доминантный блок сообщества наземных тетрапод; 2) коадаптация членов доминантного блока ;ообщества наземных тетрапод оказалась не на-:только глубока и облигатна, чтобы при его крушении исчезли и все связанные с ним таксоны. Очевидно, оба этих условия оказались выполнены накануне мел-палеогенового кризиса, который, так известно, завершился полным вымиранием динозавров.
Среди обсужденных в этой статье причин вымирания динозавров можно указать следующие: 1) опережающая специализация хищников; 2) глубокая и облигатная коадаптация хищников жертв в рамках доминантного блока сообщества; 3) большой инадаптивных груз, накопленный в процессе длительного филогенеза; 4) исчерпание в течение мела групп, способных оперативно заместить экологическую роль неумеренно истребляемых жертв.
В пользу отсутствия в эпоху мел-палеогенового кризиса группы, способной оперативно занять место вымирающих растительноядных динозавров, косвенно свидетельствует структура палеогеновых и реликтовых сообществ наземных тетрапод кайнозоя. На фоне дефицита крупных хищных млекопитающих появляются питающиеся на суше хищные крокодилы (Sebecidae, Baurusuchidae, Dyrosauridae и Pristichampsinae с рептильной физиологией и крупные бегающие хищные птицы (Diatrimidae и Phorusrhacidae), по жизненной форме мало чем отличавшиеся от хищных динозавров. Таким образом, представляется вполне вероятным, что если бы млекопитающие смогли оперативно сформировать адаптивную зону достаточно крупных фитофагов, то менее крупные и специализированные из хищных динозавров (например, из Deinonychosauria) могли бы протянуть по крайней мере первую половину палеогена.
1. Хищник не может появиться прежде жертвы. Специализация и связанный с ней биологический прогресс жертвы являются предпосылками ее использования хищником в качестве кормовой базы. Поэтому на первых этапах экогенеза коадаптивной пары «хищник-жертва» вторая всегда будет опережать первого.
2. Продолжительное отставание хищника от жертвы по уровню относительной специализации обусловлено значительно более высокими требованиями к комплексности специализации у хищника по сравнению с жертвой. Учитывая запрет на параллельную (одновременную) оптимизацию целого по многим параметрам, вытекающую из принципа адаптивного компромисса А.П. Расницына, комплексная адаптация требует для своего формирования более продолжительного времени. С другой стороны, более комплексная адаптация замедляет накопление инадаптивного груза хищником.
3. Высокое положение в пищевой пирамиде, низкая биомасса и численность хищника по сравнению с жертвами и сильная зависимость от состояния их популяций не позволяют хищнику подрывать ресурсы жертв в экологическом масштабе времени (когда эволюцией хищника и жертвы можно пренебречь), но делают его более чувствительным и адаптивно реактивным в филогенетическом масштабе времени (когда коэволюция хищника и жертвы становится ведущим фактором их экологических отношений).
4. Низкое положение жертвы в пищевой пирамиде, ее высокая численность и биомасса делают ее более толерантной по отношению к хищнику в экологическом масштабе времени, но менее чувствительной и адаптивно реактивной по отношению к нему в филогенетическом масштабе времени.
5. Различия хищников и жертв по адаптивной реактивности и скорости накопления инадаптивного груза создают предпосылки не только установления паритета уровней их относительной специализации, но и опережающей специализации хищника по отношению к жертве. Благодаря этому хищник может стать важным (хотя всегда не единственным) фактором смены жертв в филогенетическом масштабе времени.
Работа выполнена при поддержке Российского фонда фундаментальных исследований (проекты №№ 96-05-65848, 98-05-64687, 00-15-97754, 00-04-49348).
Барсков И.С., Жерихин В.В., Раутиан А.С. Проблемы эволюции биологического разнообразия // Журн. общ. биологии. 1996. Т. 57. № 2. С. 14-39
Берг Р.Л. Генетика и эволюция. Новосибирск: Наука.1993. 284с.
Бигон М., Харпер Дж., Таунсенд К. Экология. Особи, популяции и сообщества. М.: Мир. 1989. T.I. 667с. Т.2. 477 с.
Бурзин М.Б. Стратегия защиты от поедания, трофическая и размерная структура пелагиали и этапы морфологической эволюции акритарх в позднем до-кембрии и раннем кембрии // III Всесоюзн. симпозиум по палеонтологии докембрия и раннего кемб-рия. Тез. докл. Петрозаводск. 1987. С.12-14.
Бурзин М.Б. Основные тенденции в историческом развитии фитопланктона в позднем докембрии и раннем кембрии // Экосистемные перестройки и эволюция биосферы. Вып.1. М.: Недра. 1994. С.51-62.
Варлей Дж.К., Градуэлл Дж.Р., Хасселл М.П. Экология популяций насекомых. (Аналитический подход). М.: Колос, 1978.222с.
Вахрушев А.А., Раутиан А.С. Исторический подход в экологии: сущность и перспективы // Биологическое разнообразие: подходы к изучению и сохранению. Мат. конф. БИН РАН и ЗИН РАН 14-15 февраля и 14-15 мая 1990 г.. Ленинград. СПб: Изд. ЗИН РАН. 1992. С.81-91.
Вахрушев А.А., Раутиан А.С. Исторический подход к экологии сообществ //Журн. общ. биол. 1993. Т.54. №5. С.532-553.
Волк.М.: Наука. 1985. 606 с.
Вольтерра В. Математическая теория борьбы за существование. М.: Наука.1976. 288 с.
Гамбарян П.П. Бег млекопитающих. Л.: Наука. 1972. 334с.
Гаузе Г.Ф. Экология и некоторые проблемы происхождения видов // Экология и эволюционная теория. Л.: Наука. 1984. С.5-108.
Губин Ю.М. Палеоценовые саламандры Монголии // Палеонтол. журн. 1991. № 1. С.96-106.
Дажо Р. Основы экологии. М.: Прогресс. 1975. 415 с.
Еськов К.Ю. История Земли и жизни на ней. М.: МИРОС и МАИК Наука/Интерпериодика. 2000. 352 с.
Ефимов М.Б. Ископаемые крокодилы и хампсозавры Монголии и СССР. М.: Наука. 1988. 108 с. (Тр. ССМПЭ. Вып. 36).
Жегалло В.И., Каландадзе Н.Н., Кузнецова Т.В., Раутиан А.С. Судьба мегафауны Голарктики в позднем антропогене // Мамонт и его окружение: двести лет изучения.М.: Геос.2001 (в печати)
Жерихип В.В. Использование палеонтологических данных в экологическом прогнозировании // Экологическое прогнозирование. М.: Наука. 1979. С. 113-132.
Жерихин В.В. Биоценотическая регуляция эволюции //Палеонтол. журн. 1987. № 1. С.3-12.
Жерихин В.В. Основные закономерности филоценоге-нетических процессов (на примере неморских сообществ мезозоя и кайнозоя) / Автореф. докт. дисс. М.: Изд. ПИН РАН. 1997. 80 с.
Жерихин В.В., Раутиан А.С. Кризисы в биологической эволюции // Анатомия кризисов. М.: Наука. 2000. С.29-50.
Ивахненнко М.Ф., Голубев В.К., Губин Ю.М. и др. Пермские и триасовые тетраподы Восточной Европы. М.: Геос. 1997. 215с. (Тр. ПИН РАН. Т. 268).
Иорданский Н.Н. Эволюция комплексных адаптации. Челюстной аппарат амфибий и рептилий. М.: Наука. 1990. 310с.
Иорданский Н.Н. Макроэволюция. Системная теория. М.: Наука. 1994. 112с.
Каландадзе Н.Н., Раутиан А.С. К исторической зоогеографии наземных тетрапод конца палеозоя - начала мезозоя // Междунар. геол. конгр. ХХУ1 сессия. Докл. сов. геологов. Палеонтология. Стратиграфия. М.: Наука. 1980. С.93-102.
Каландадзе Н.Н., Раутиан А.С. Межконтинентальные связи наземных тетрапод и решение проблемы шотландской фауны Элгин // Жизнь на древних континентах, ее становление и развитие. Тр. XXIII сессии Всесоюзн. палеонтол. об-ва. Л.: Наука. 1981. С.124-133
Каландадзе Н.Н., Раутиан А.С. Место Центральной Азии в зоогеографической истории мезозоя // Ископаемые рептилии Монголии. М.: Наука. 1983. С.6-44(Тр.ССМПЭ.Вып.24).
Каландадзе Н.Н., Раутиан А.С. Система млекопитающих и историческая зоогеография // Филогенетика млекопитающих. М.: Изд-во МГУ. 1992а. С.44-152 (Сб. трудов Зоол. музея МГУ. Т. 29).
Каландадзе Н.Н., Раутиан А.С. Эвристическая модель эволюции сообщества и его таксономического и экологического разнообразия // Биологическое разнообразие: подходы к изучению и сохранению. СПб: Изд. ЗИН РАН. 19926. С.65-80.
Каландадзе Н.Н., Раутиан А.С. Юрский экологический кризис сообщества наземных тетрапод и эвристическая модель эволюции сообщества и биоты // Проблемы доантропогенной эволюции биосферы. М.: Наука.1993. С.60-95.
Каландадзе Н.Н., Раутиан А.С. Сопряженная эволюция наземных и водных тетрапод конца палеозоя - начала мезозоя // Экосистемные перестройки и эволюция биосферы. Вып.1. М.: Недра. 1994. С.174-180.
Каландадзе Н.Н., Раутиан А.С. Дефицит крупных хищников и эффект опережающей специализации фитофагов в палеогеновых и реликтовых фаунах млекопитающих // Экосистемные перестройки и эволюция биосферы. Вып.2. М.: Изд. ПИН РАН. 1995а. С.84-87.
Каландадзе Н.Н., Раутиан А.С. Биоценотические предпосылки становления основ гомойотермии // Палеонтология и стратиграфия континентальных отложений перми и триаса. Автореф. докл. Москва, 13-14 декабря 1995 г. М.: Изд. ПИН РАН. 19956. С.12-13.
Каландадзе Н.Н., Раутиан А.С. Коментированная геохронологическая таблица(«календарь») важнейших событий филоценогенеза сообщества (так-соцена) наземных позвоночных. Часть V // Экосистемные перестройки и эволюция биосферы. Вып.4. М.: Изд. ПИН РАН. 2001 (в печати).
Ковалевский В.О. Собрание научных трудов.М.: Иэд-во АН СССР. Т. II. 1956. 300 с. Т. III.'I960. 351 с.
Красилов В.А. Периодичность развития органического мира//Палеонтологический журн. 1987. №3. С.9-15.
Красилов В.А. Охрана природы: принципы, проблемы, приоритеты. М.: Ин-т охраны природы и заповедного дела. 1992. 173с.
Кузнецов А.Н. Планы строения конечностей и эволюция техники бега у тетрапод. М.: Изд-во МГУ. 1999а. 94 с.
Кузнецов А.Н. Планы строения конечностей и эволюция техники бега у тетрапод / Автореф. докт. дисс. М.: Изд-во Диалог-МГУ. 19996. 48 с.
Кузнецов А.Н., Сенников А.Г. О функциональном значении пробаденной вертлужной впадины у архозавров и птиц//Палеонтол. журн. 2000. №4. С.76-85.
Кэрролл Р. Палеонтология и эволюция позвоночных. М.: Мир. 1993. Т. 2. 283 с. Т. 3. 312 с.
Левченко В.Ф. Модели в теории биологической эволюции. СПб: Наука. 1993. 383 с.
Левченко В.Ф., Старобогатов Я.И. 1986. Два аспекта эволюции жизни: физический и биологический // Физика: проблемы, история, люди. Л.: Наука. 1986. С. 102-142.
Лэк Д. Численность животных и ее регуляция в природе. М.: Изд-во Иностр. лит. 1957. 404с.
МоуэтФ. Не кричи: «Волки!». М.: Тропа. 1993. 160с. Одум Ю. Основы экологии. М.: Мир. 1975. 740 с. Пианка Э. Эволюционная экология. М.: Мир. 1981.399 с.
Пучков П.В. Некомпенсированые вюрмские вымирания. Сообщения 1-6 // Вестн. эоол. 1991. № 5. С.45-53. 1992. № 1. С.58-66. №4. С.73-81. 1993. № 1. С.63-71. № 4. С.59-67. 1994. № 2. С.65-73.
Пучков П.В. Почему мамонты не вымерли в межлед-никовья? // Мамонт и его окружение: двести лет изучения. М.: Геос. 2001 (в печати).
Ралль Ю.М. Грызуны и природные очаги чумы. М.: Медгиз. 1960. 224с.
Расницын А.П. К вопросу о причинах морфофункцио-нального прогресса//Журн. общ. биол. 1971. Т.32. №5. С.549-556.
Расницын А.П. К вопросу о причинах морфофункцио-нального прогресса // Закономерности прогрессивной эволюции. Л.: Изд. ИИЕТ АН СССР. 1972. С.314-319.
Расницын А.П. Инадаптация и эвадаптация // Палеонтол. журн. 1986. № 1.С.3-7.
Расницын А.П. Темп эволюции и эволюционная теория (гипотеза адаптивного компромисса) // Эволюция и биоценотические кризисы. М.: Наука. 1987. С.46-64.
Раутиан А.С. Палеонтология как источник сведений о закономерностях и факторах эволюции // Современная палеонтология. Т.2. М.: Недра. 1988. С.76-118.
Раутиан А.С. Эвристическая модель становления основ гомойтормии // Всесоюзн. совещ. по эволюционной физиологии, посвященное памяти акад. Л.А. Орбе-ли. Тез. докл. Л.: Наука. 1990. С.31-32.
Раутиан А.С. Эвристическая модель становления основ гомойотермии // Палеонтология и стратиграфия континентальных отложений перми и триаса. Автореф. докл. М.: Изд. ПИН РАН. 1995а. С.29-30.
Раутиан А.С. Адаптивного компромисса принцип // Палеонтология и палеоэкология. Словарь-справочник. М.: Недра.19956. С.15.
Раутиан А.С. Морфофизиологический прогресс - главный фактор освоения растительных ресурсов и роста разнообразия наземных позвоночных // Совещание. Факторы таксономического и биохорологического разнообразия. СПб: Изд. ЗИН РАН. 1995в. С.64.
Раутиан А.С., Жерихин В.В. Модели филоценогенеза и уроки экологических кризисов геологического прошлого//Журн. общ. биол. 1997. Т.58. №4. С.20-47.
Раутиан А.С., Каландадзе Н.Н. Дефицит крупных хищников в древних фаунах млекопитающих //1 Всесоюз. совещ. по палеотериологии. М.: Наука. 1989. С.47-49.
Раутиан А.С., Сенников А.Г. Отношения хищник-жертва в филогенетическом масштабе времени // Тез. докл. Междунар. симп. «Эволюция экосистем». М.: ПИН РАН. 1995.С.102-103.
Риклефс Р. Основы общей экологии. М.: Мир. 1979.424с.
Розанов А.Ю. Что произошло 600 миллионов лет назад. М.: Наука, 1986.96с.
Ротшильд Е.В., Куролап С.А. Прогнозирование активности очагов зоонозов по факторам среды. М.: Наука. 1992. 184с.
Рябов Л.С. Волк в Хоперском заповеднике // Экология, поведение и управление популяциями волка. Сборник научных трудов. М.: Изд. ВТО. 1989. С.153-159.
Садыков О.Ф., Бененсон И.Б. Динамика численности мелких млекопитающих. Концепции, гипотезы, модели. М.: Наука.1992. 191 с.
Свирежев Ю.М. Нелинейные волны, диссипативные структуры и катастрофы в экологии. М.: Наука. 1987. 366с.
Свирежев Ю.М., Логофет Д.О. Устойчивость биологических сообществ. М.: Наука. 1978. 352 с.
Северцов А-Н. Морфологические закономерности эволюции. М.-Л.: Изд-во АН СССР. 1939. 610 с.
Северцов А.Н. Главные направления эволюционного процесса. М.: Изд-во МГУ. 1967. 202 с.
Северцов С.А. Проблемы экологии животных. T.I. М.: Изд-во АН СССР. 1951. 171с.
Сенников А.Г. Ранние текодонты Восточной Европы. М.: Наука. 1995. 140 с. (Труды ПИН РАН. Т.263).
Симпсон Дж.Г. Великолепная изоляция. История млекопитающих Южной Америки. М.: Мир. 1983. 256 с.
Соколов B.C., Ивановский А.Б. (ред.). Вендская система. Историко-геологическое и палеонтологическое обоснование. Т. 1. Палеонтология. М.: Наука. 1985.221 с.
Соколов Б.С. Очерки становления венда. М.: КМК Sci. Press Ltd. 154с.
Старобогатов Я.И. Эволюция экосистем // Методологические проблемы эволюционной теории. Тарту: Изд. Тартуского унив. 1984. С.70-72.
Суханов В.Б. Общая система симметричной локомоции наземных позвоночных и особенности передвижения низших тетрапод. Л.: Наука. 1968. 228 с.
Формозов А.Н. Колебания численности промысловых животных. М.-Л.: КОИЗ. 1935. 108 с.
Холдейн Дж.Б.С. О целесообразности размера // Фельдман Г.Э. Джон Бэрдон Сандерсон Холдейн. М.: Наука. 1976. С.191-195.
Шварц С.С. Экологические закономерности эволюции. М.: Наука.1980.
Шилова С.А. Популяционная экология как основа контроля численности мелких млекопитающих. М.: Наука. 1993.201 с.
Шмальгаузен И.И. Факторы эволюции. Теория стабилизирующего отбора.М.: Наука.1968.451 с.
Шмальгаузен И.И. Проблемы дарвинизма. Л.: Наука. 1969. 493с.
Шмальгаузен И. И. Пути и закономерности эволюционного процесса. Избр. тр. М.: Наука. 1983. 360 с.
Шмидт-Ниельсен К. Физиология животных. Приспособление и среда. Т.1 и 2. М.: Мир. 1982. 800 с.
Шмидт-Ниельсен К. Размеры животных: почему они так важны? М.: Мир. 1987. 259 с.
Щербиновский Н.С. Пустынная саранча шистоцерка. М.: Сельхозгиз. 1952.416с.
Яхонтов В.В. Экология насекомых. М.: Высшая школа. 1969.488с.
Bakker R.T. Dinosaur Physiology and origin of mammals //Evolution. 1971. №25. P.636-658.
Benton M.J. The age of the rhynchosaur // New Scientist. 1983а.У.98.№ 1352.Р.9-13.
Benton M.J. The Triassic reptile Hyperodapedon from Elgin: functional morphology and relationships // Phil. Trans. R. Soc. Lond. B. 1983b. V.302. № 1112. Р.605-720.
Benton M.J. Dinosaur success in the Triassic: a noncom-petitive ecological model // Quart. Rev. Biol. 1983с. У.58.№1.Р.29-55.
Benton M.J. The Late Triassic Tetropods Extinction Event // The begining of the Age of Dinosaurs. New York;New Rochelle; Melbourne; Sydney: Cambridge Univ. Press. 1986. P.303-320.
Benton M.J. The species of Rhynchosaurus, a rhynchosaur (Reptilia, Diapsida) from the Middle Triassic of England // Phil. Trans. R. Soc. Lond. B. 1990. V.328. № 1247.P.213-306.
Benton M.J. Mass extinction, biotic and abiotic // Encyclopedia of Environmental Biology. V.2. London: Academic Press. 1995. P.523-534.
Bonaparte J.F. Classification of the Thecodontia // Mem. Spec. Geobios. 1982. № 6. Р.99-112.
Bonaparte J.F. Locomotion in rauisuchid thecodonts // Jour. Vertebr. Paleontol. 1984. V.3. № 2. P. 141-148.
Buffetaut E. Radiation evolutive, Paleoecologie et Biogeo-graphie des crocodiliens mesosuchiens // Mem. Soc. Geol. France. 1982. V.142. P.1-88.
Charig A.J. The evolution of the archosaur pelvis and hindlimb: an explonation in functional terms // Studies in vertebrate evolution. Edinburgh: Oliver & Boyd. 1972. P.121-157.
Charig A.J. Competition between therapsids and archo-saurs during the Triassic period: a review and synthesis of current theory // Symp. Zool. Soc. Lond. 1984.№52.Р.597-б28.
Chatterjee Sh. A rhynchosaur from the Upper Triassic Ma-leri Formation of India // Phil. Trans. R. Soc. Lond. B. 1974. V.267. № 884. P.209-261.
Crompton A.W., Atteridge J. Masticatory apparatus of the herbivores during Late Triassic and Early Jurassic times // The begining of the Age of Dinosaurs. New York; New Rochelle; Melbourne; Sydney: Cambridge Univ. Press. 1986. P.223-236.
Crompton A.W., Hotton F.A. Functional morphology of the masticatory apparatus of two dicynodonts (Reptilia, Therapsida) // Postilla, Yale Peabody Mus. 1967. V.109. 1-51 p.
Estes R. Sauria terrestria, Amphisbaebia // Handbuch der Palaeoherpetologie. Part 10A. Stuttgart: G.Fischer Verlag. 1983. 249 S. Gauthier J. Saurischian monophy-ly and the Origin of birds // Mem. Calif. Acad. Sci. 1986. №8. P.1-55.
Kalandadze N.N., Rautian A.S. Physiology prerequisites for the utilization of plant resource by land vertebrates //Paleontol. Journ. 1995. V.29. №4. P.179-185.
Kalandadze N.N., Rautian A.S., Rautian G.S. Ecogenesis of the South American Cenosoic Carnivorous Tetra-pods // Paleontol. Journ. 1996. V. 30. № 6. Р.733-737.
Kemp T.S. A functional interpretation of the transition from primitive tetrapod to mammalian locomotion // Konstruktionsprinzipien lebender und ausgestorbenen Reptilien. Stuttgart. 1985. P.181-191.
King G.M. Anomodontia // Encyclop. Palaeoherpetology. Part. 17C. Stuttgart; New York: G.Fischer Verl. 1988. XII+174 S.
Langston W. Fossil crocodilians from Columbia and the Cenosoic history of the Crocodylia in Souht America // Univ. Calif. Publ. Geol. Sci. 1965. V.52. P.1-157.
Little T.S., Benton M.J. Early Jurassic mass extinction: A global long-term event // Geology. 1995. V.23. № 6.P.495-498.
Olson E.C. Community evolution and the origin of mammals // Ecology. 1966. V.47. № 2. P.291-302.
Olson E.C. Origine et evolution des communautes biolo-giques de vertebres permo-carboniferes // Ann. Paleontol. (Vert.-Invert.). 1984. V.70. F.I. P.41-82.
Olson E.C. The Fossil Records of the Birds // Avian Biology. V.8. New-York; London: Acad. Press. 1985. P.79-258.
Olson E.C. Problems of Permo-Triassic terrestrial vertebrate extinctions // Historical Biology. 1989. V.2. P.17-35.
Parrish J.M. Locomotor adaptation in the hindlimb and pelvis of Thecodontia // Hunteria. 1986. V.I. №2.Р.1-35.
Reisz R. Pelycosauria // Handbuch der Palaeoherpetologie. Heft 17A. Stuttgart: G. Fischer Verl. 1986. 102 S.
Romer A.Sh. La Evolucia Explosiva de los Rhynchosau-rios del Triasico Buenos Aires: Coni. 1962. 14 p. (Rev. Museo Argentine «B.Rivadavia» e Inst. Nacional invest. Cienc. Nat. Cienc. Zool. T.VIII. № 1.
The Dinosauria. Berkeley; Los Angeles; Oxford: Univ. California Press. 1990. 774 p.
Vickers-Rich P., Rich Т.Н. Wildlife in Gondwana. 1993. Chastwood: Reed, a part of W. Heinemann. 276 p.