М.: Геос, 1998. 318 с.
Важнейшими параметрами в описанной выше модели являются объемы потенциальной и реализованной частей адаптивных зон семейства и родов. Для того, чтобы адекватно применять рассматриваемую модель к анализу конкретных макроэволюционных процессов, необходимо найти способ объективной оценки экологической специализированности реальных таксонов. Ясно, что одними экспертными оценками здесь не обойтись. Нужно найти такие количественные характеристики у реальных таксонов, которые приблизительно отражали бы объем занимаемого ими пространства ресурсов.
В ходе поиска возможных подходов к оценке специализированности и объемов адаптивных зон у реальных таксонов нами были обработаны данные о систематическом положении и распространению во времени и в пространстве палеозойских представителей следующих групп: мшанок из отрядов Trepostomida и Cystoporida, брахиопод отряда Athyridida (на видовом уровне; по этой группе в банке данных нет сведений о географическом распространении), кораллов подкласса Rugosa, археоциат класса Regulares и головоногих моллюсков отряда Nautilida (данные неполные). Таким образом, изучалось шесть весьма разных по морфологии, происхождению и экологии палеозойских групп.
Нами были проанализированы три величины. Первая - уровень разнообразия таксона (число видов или родов в отряде или классе). Можно допустить, что при прочих равных условиях таксой, имеющий обширную адаптивную зону, характеризуется большим разнообразием, чем развивающийся в узкой адаптивной зоне. Впрочем, как будет показано ниже, "равенство прочих условий" в данном случае - явление весьма редкое.
Вторая величина - продолжительность существования таксона. Как уже отмечалось (см. гл. 2), таксоны, имеющие узкие адаптивные зоны (т.е. специализированные) имеют в среднем меньшую продолжительность существования, чем неспециализированные таксоны, развивающиеся в широких адаптивных зонах. Это связано с тем, что специализированные формы в большей степени подвержены вымиранию при изменении условий, чем неспециализированные. Например, было показано, что средняя продолжительность существования родов морских ежей и брахиопод - атиридид коррелирует со степенью их специализированности, определенной путем экспертных оценок [Грунт и др., 1995]. Исключение могут представлять специализированные формы, приспособившиеся к жизни в некоторых специфических стабильных биотопах. Тем не менее продолжительность существования таксона, по-видимому, в большинстве случаев можно использовать как критерий приблизительной оценки размеров адаптивной зоны. Разумеется, речь может идти только об оценке среднего размера адаптивных зон в некоторой, не слишком маленькой, выборке одноранговых таксонов, поскольку в каждом конкретном случае продолжительность существования может определяться различными случайными факторами.
Третий показатель, анализируемый в этом разделе - размер ареала. Очевидно, что таксоны с широкими адаптивными зонами, т.е. способные существовать при широком спектре условий, в среднем должны иметь более обширные ареалы, чем узкоспециализированные формы. По размеру ареала, так же как и по продолжительности существования, можно оценивать средние размеры адаптивных зон лишь в более или менее объемных выборках [Марков, Наймарк, 1995а, 19956; Naimark, Markov, 1994].
Предполагаемая связь специализированности с ареалом и продолжительностью существования обсуждается, в частности, в работах А.Дж.Буко [1984; Boucot, 1983], который отмечал, что для стено-топных (стенобионтных) таксонов характерны провинциальность, редкость и быстрая смена видов, тогда как у эвритопных таксонов наблюдается тенденция к космополитности, обилию и медленной смене видов. Все это полностью согласуется с нашими результатами. Обсуждаемые зависимости были также продемонстрированы на материале по различным группам моллюсков [Кафанов, 1979; Strauch, 1972].
Данное исследование преследовало следующие цели:
1) Изучить динамику средней продолжительности существования и среднего размера ареала видов и родов в различных ископаемых таксонах старшего ранга (отрядах, классах).
2) Проследить взаимосвязь этих двух показателей.
3) Установить, связаны ли два исследуемых показателя с общим уровнем разнообразия вмещающего таксона (т.е. с числом видов и родов в данный момент времени), и если связаны, то каким образом. Строились графики, отражающие динамику, трех показателей:
числа родов (для атиридид - числа видов) - ЧР (ЧВ); средней продолжительности существования родов (видов) - ПС; среднего индекса географического распространения родов - ИГР.
ЧР вычислялось как количество родов, известных в данном ярусе. ПС определялась как средняя продолжительность существования (в млн. лет) родов, известных в данном ярусе. Например, если в ярусе А представлено 2 рода, один из которых просуществовал в общей сложности 20, а другой 40 млн лет, то величина ПС для данного яруса составляет 30 млн лет.
ИГР (средний индекс географического распространения) представляет собой грубую оценку площади ареала родов в момент наибольшего распространения. Вычислялся ИГР следующим образом. В Банке данных ПИН географическое распространение каждого рода представлено в виде 1-10 парных записей, где первый элемент каждой пары обозначает место, а второй - время, в течение которого данный род был в этом месте распространен. Место обозначается одним из трех способов: 1) в виде квадратов координатной сетки (сторона наибольшего квадрата составляет 10 градусов по широте и долготе; при необходимости большой квадрат подразделяется на 16 малых); 2) Если род известен из многочисленных местонахождений, приуроченных к одному и тому же региону, вместо квадратов указывается регион (например, Западная Европа, Средняя Азия, Австралия и т.д.). 3) Если род известен из многочисленных местонахождений по всему миру (точнее, более чем в 10 крупных регионах), указывается всесветное распространение.
Для каждого рода вычислялся индекс распространения отдельно в каждом ярусе, где существовал данный род. При этом распространение в одном квадрате со стороной в 10 градусов оценивалось в 1 балл, распространение в регионе - в 3 балла, всесветное - в 30 баллов. Затем выбирался ярус, в котором сумма баллов была максимальна, и это число расценивалось как индекс географического распространения рода. Этот индекс характеризует род на протяжении всего периода существования, а не только в момент наибольшего распространения, поскольку мы оцениваем потенциальные эволюци-онно-экологические возможности рода, а не только ту их часть, которая на текущий момент реализована. То есть в данном случае мы как бы пренебрегаем различием между потенциальной и реализованной адаптивной зоной рода. На родовом уровне такое упрощение необходимо, потому что иначе получаемый результат попал бы в сильную зависимость от степени изученности отложений различного возраста в различных регионах, а также от множества других случайных факторов. В подобных исследованиях вообще очень важно правильно выбрать степень приближения, дабы избежать аберраций близости или дальности [Гумилев, 1990]. Приведем пример вычисления ИГР. Допустим, распространение рода описывается следующим образом: квадрат (Крым), фамен; квадрат (Австрия), турне; регион (Северная Америка), турне - визе. В этом случае ИГР рода будет равен 4 (век наибольшего распространения - турне: 1 регион и 1 квадрат). Для вычисления среднего ИГР родов в каждом ярусе подсчитывалась сумма географических индексов всех родов, известных в этом ярусе, и результат делился на число родов. Таким образом, ИГР в каждом ярусе колеблется от 1 (все роды имеют локальное распространение) до 30 (все роды - космополиты).
Опыт показал, что динамика ИГР существенно не меняется при различных способах оценки квадратов и регионов в баллах. Более точное определение площади ареалов родов в данном случае нецелесообразно, поскольку имеющаяся информация позволяет проводить лишь самую грубую оценку, особенно если учесть, что данные собирались разными специалистами и не всегда имеют одинаковую степень подробности.
Результаты исследования отражены на графиках (рис. 22-27). Анализ графиков показывает, что изменения ЧР, ПС и ИГР во всех исследованных группах не являются независимыми. Прямая связь между ПС и ИГР в каждой группе прослеживается почти на всем протяжении исследуемого интервала времени, а максимумы и минимумы соответствующих кривых в большинстве случаев совпадают. Отклонения от положительной корреляции между ПС и ИГР во всех группах довольно редки и незначительны. Коэффициенты корреляции для всех групп достаточно высоки: от 0,5 у ругоз до 0,96 у археоциат. Следует отметить, что в данном случае коэффициент корреляции мало информативен, так как при статистической обработке выборки невозможно учесть разнообразия реакций объекта на различные факторы, в том числе факторы внешней среды. Для данного исследования целесообразно использовать композитно-графический метод [Дементьева, 1987].

Рис. 22. Динамика родового разнообразия (а), среднего индекса географического распространения родов, в баллах (б) и средней продолжительности существования родов, в млн. лет (в) в эволюции мшанок отряда Trepostomida
Fig. 22. Order Trepostomida (Bryozoa). a - number of genera, б - average generic GDI (estimation of geographic range), в — average duration of genera (rnln.y.)
Рис. 23.
Динамика родового разнообразия (а), среднего индекса географического распространения родов, в баллах (б) и средней продолжительности существования родов, в млн. лет (в) в эволюции мшанок отряда Cystoporida
Fig. 23. Order Cystoporida (Bryozoa). Designation same as on fig. 22

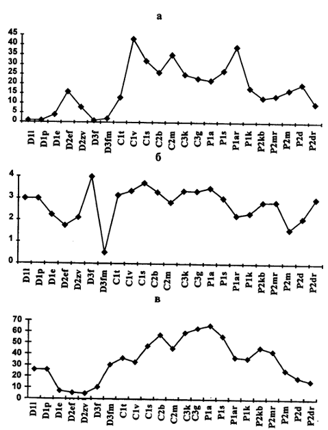
Рис. 24. Динамика родового разнообразия (а), среднего индекса географического распространения родов, в баллах (б) и средней продолжительности существования родов, в млн. лет (в) в эволюции кораллов подкласса Rugosa .
Fig. 24. Subclass Rugosa (Anthozoa). Designation same as on fig. 22

Рис.
25. Динамика родового разнообразия (а), среднего индекса географического распространения родов, в баллах (б) и средней продолжительности существования родов, в млн. лет (в) в эволюции головоногих моллюсков отряда Nautilida (палеозойские представители)
Fig.
25. Order Nautilida (Cephalopoda; Palaeozoic representatives; incomplete data). Designation same as on fig. 22

Рис. 26.
Динамика видового разнообразия (а) и средней продолжительности существования видов, в млн. лет (б) в эволюции брахиопод отряда Athyridida
Fig. 26.
Order Athyridida (Brachiopoda). a - number of species, б - average duration of species (mln.y.)

Рис.
27. Динамика родового разнообразия (а), среднего индекса географического распространения родов, в баллах (б) и средней продолжительности существования родов, в млн. лет (в) в эволюции археоциат класса Regulares. По горизонтальной оси - зоны нижнего кембрия
Fig.
27. Class Regulares (Archaeocyatha). a - number of genera, б - average GDI of genera, в - average duration of genera (min.y.). Horizontal axis: zones of the Lower Cambrian
С другой стороны, как ПС, так и ИГР проявляют ярко выраженную отрицательную корреляцию с ЧР (или ЧВ). Коэффициенты корреляции ЧР и ИГР изменяются от -0,91 у археоциат до -0,13 у ругоз, а ЧР и ПС от -0,9 у археоциат до 0 у ругоз. В среднем корреляция ИГР и ЧР выше, чем между ПС и ЧР: -0,54 и -0,46. Графики ЧР (ЧВ) на большей части временного интервала находятся в противофазе с графиками ПС и ИГР соответствующих групп.
Сходство в динамике ЧР, ПС и ИГР между различными группами выражены на порядок слабее, чем корреляции между показателями внутри каждой группы. Фактически, межгрупповые корреляции наблюдаются лишь в некоторых ярусах, тогда как на большем протяжении исследуемого интервала времени не удается обнаружить общих тенденций в разных таксонах. Следует, однако, отметить синхронное увеличение ЧР в разных группах в карадоке, лудлове, среднем девоне и в турне - визе; синхронные спады разнообразия в пржидоле, в пражском, серпуховском - башкирском и касимовском ярусах.
Синхронная динамика ИГР и ПС явно свидетельствует о тесной взаимосвязи этих показателей. Ее можно выразить следующими словами: чем больше продолжительность существования рода (вида), тем, в среднем, шире его географическое распространение. Это, однако, не означает, что один из этих показателей является определяющим по отношению к другому. Буко [1979], обнаруживший эту закономерность у палеозойских брахиопод, сделал из нее вывод о том, что размер популяции (и, в частности, площадь ареала) непосредственно влияет на среднюю продолжительность существования таксона. При этом Буко не дает ответа на вопрос, чем же определяется сама площадь ареала. На наш взгляд, связь между этими показателями является опосредованной. Иначе говоря, имеется третий фактор, определяющий одновременно и широту распространения, и продолжительность существования рода, а именно размер адаптивной зоны, т.е. спектр условий, в которых данный таксой может существовать. Если таксой обладает широкой адаптивной зоной, то он с большой вероятностью будет иметь обширный ареал, т.к. способен переносить широкий спектр условий; продолжительность его существования также, скорее всего, будет велика, поскольку даже значительные изменения экологической обстановки не вызовут его немедленного вымирания.
Выявленная отрицательная корреляция между ЧР (ЧВ) и ИГР или ПС хорошо согласуется с предположениями об относительном единстве и фиксированности размеров адаптивной зоны старших таксо-нов (отрядов, классов) и о том, что ИГР и ПС отражают размеры адаптивных зон родов и видов. С этой точки зрения найденная корреляция означает, что адаптивная зона старшего таксона в каждый момент времени может быть поделена либо на небольшое количество крупных частей (адаптивных зон неспециализированных видов и родов), либо на большое число мелких (адаптивных зон узких специалистов). Если бы адаптивная зона старшего таксона не имела определенного конечного размера, никакой корреляции между числом субъединиц и их специализированностью не обнаружилось бы.
Ясно, что подобная корреляция должна проявляться не всегда, а лишь в те моменты, когда в адаптивной зоне старшего таксона сравнительно мало свободного пространства. Именно в этом случае размер общей адаптивной зоны старшего таксона будет оказывать непосредственное влияние на уровень специализированное™ субъединиц. Подобная ситуация, очевидно, характерна для большей части периода существования крупных таксонов, которую можно охарактеризовать как фазу расцвета.
Для модельного семейства в фазе расцвета характерны колебания уровня разнообразия вокруг среднего значения, при этом средний размер адаптивных зон субъединиц таксона находится в противофазе с количеством последних. Теперь же предсказанные на модели соотношения обнаружены и на фактическом материале. Такое совпадение в поведении модельного и реальных таксонов говорит, с одной стороны, об адекватности основных теоретических предпосылок модели наблюдаемым фактам, с другой - о том, что показатели ИГР и ПС действительно можно использовать для оценки среднего уровня специализированности субъединиц надвидового таксона.
В развитии исследованных таксонов можно заметить моменты, когда резкий рост ЧР сопровождается не менее резким снижением ИГР и ПС. Это означает, что в таксоне возникает множество новых родов, большинство из которых - узкоспециализированные. В модели такие роды чаще всего возникают в результате дробления экологических ниш и адаптивных зон. Соответствующие периоды мы назвали фазами интенсивной дивергенции. В разных группах фазы интенсивной дивергенции наблюдаются в разные геологические эпохи, и только в эйфельском ярусе у всех исследованных групп (кроме археоциат, которые вымерли гораздо раньше) усиленная интенсивная дивергенция происходила одновременно. По-видимому, это следует связать с каким-то внешним воздействием, например, с изменением климата или уровня моря.
Довольно строгая обратная зависимость между ЧР и двумя другими показателями заставляет обратить особое внимание на те моменты геологического времени, когда эта зависимость нарушается. В описанной выше модели нарушения обратной зависимости числа субъединиц и среднего размера их адаптивных зон могут наблюдаться в следующих случаях:
1) При наличии в адаптивной зоне старшего таксона значительного свободного пространства, например, в начале существования группы или после крупных вымирании. В этом случае может происходить одновременный рост числа субъединиц и среднего размера их адаптивных зон. Это происходит в результате появления большого числа неспециализированных субъединиц с широкими адаптивными зонами. Такие субъединицы обычно возникают путем выхода в незанятую часть адаптивной зоны старшего таксона. Соответствующие периоды мы назвали фазами экстенсивной дивергенции.
2) При значительных изменениях внешних условий, приводящих к резкому расширению или сужению адаптивной зоны старшего таксона. В первом случае (например, при трансгрессиях) таксоны обычно вступают в фазу экстенсивной дивергенции, для которой характерно появление большого числа неспециализированных субъединиц. Во втором случае (при регрессиях, похолоданиях и пр.) может произойти снижение числа субъединиц, сопровождающееся их прогрессирующей специализацией (фаза упадка).
3) В некоторых случаях на конечных этапах развития модельного таксона наступает период гиперспециализации. В этом случае, как и при экзогенном угнетении, уменьшение числа субъединиц может сопровождаться уменьшением среднего размера их адаптивных зон.
Таким образом, моменты нарушения обратной зависимости можно подразделить на две группы: 1) рост числа субъединиц сопровождается ростом средних размеров их адаптивных зон (фаза экстенсивной дивергенции); 2) снижение числа субъединиц происходит одновременно с уменьшением средних размеров их адаптивных зон (фаза упадка).
Посмотрим теперь, в какие моменты наблюдаются в исследованных группах отклонения от характерной обратной зависимости между ЧР (ЧВ) и двумя другими показателями.
Сравнение графиков показывает, что распределение подобных отклонений во времени не случайно. Синхронный рост исследуемых показателей (фаза экстенсивной дивергенции) наблюдается у правильных археоциат в первых двух зонах томмотского яруса; у наути-лид - в турне, у трепостомид - в лланвирне и визе, у цистопорид - в венлоке-лудлове и в визе, у ругоз - в лландовери-карадоке и турне; у атиридид - в ашгилле-лудлове и турне-визе. Указанные периоды в основном приурочены к началу - середине существования каждой группы. Кроме того, можно заметить, что в турне-визе разные группы одновременно вступили в фазу экстенсивной дивергенции. Такая синхронность, вероятно, объясняется внешними факторами, общими для всех исследованных групп. По-видимому, в начале карбона по каким-то причинам адаптивные зоны исследованных таксонов временно расширились, что создало благоприятные условия для возникновения неспециализированных, долгоживущих и широко распространенных родов и видов.
Синхронное уменьшение значений ЧР, ИГР и ПС наблюдается у трепостомид в касимовском - ассельском ярусах, у цистопорид в ар-тинском и джульфинском, у ругоз - в позднем девоне и поздней перми, у атиридид - в живетском ярусе и поздней перми. Фазы упадка и гиперспециализации в разных группах не проявляют заметной синхронности, однако у большинства таксонов они приурочены к середине - концу периода существования.
В заключение перечислим основные выводы, которые позволяет сделать проведенный анализ взаимосвязи ИГР, ПС и ЧР:
1. Размер родового ареала во многих группах морских беспозвоночных положительно коррелирует с продолжительностью существования родов.
2. Средняя площадь ареала и средняя продолжительность существования родов (видов) обычно связаны обратной зависимостью с общим числом родов (видов) в таксоне старшего ранга (классе, подклассе, отряде).
3. Сравнение динамики числа родов, ИГР и ПС в каждой из шести групп позволяет выделять в развитии старших таксонов фазу расцвета (отрицательная корреляция между числом родов и ИГР и ПС), фазу экстенсивной дивергенции (синхронный рост показателей или увеличение родового разнообразия без существенного снижения ИГР и ПС), фазу упадка (синхронное уменьшение показателей или снижение разнообразия без существенного увеличения ИГР и ПС) и фазу интенсивной дивергенции (резкий рост числа родов при одновременном резком снижении ИГР и ПС).
4. В турне-визе исследованные группы синхронно вступают в фазу экстенсивной дивергенции, что может быть связано с внешними воздействиями, временно расширившими адаптивные зоны старших таксонов. В эйфеле наблюдается синхронное усиление процессов интенсивной дивергенции, что, вероятно, тоже было вызвано внешними факторами.
5. Периоды экстенсивной дивергенции характерны для начальных и средних этапов развития старших таксонов, а периоды упадка и гипер-специализации - в основном для средних и завершающих этапов.
6. Найденные соотношения между числом родов в старшем так-соне и средним размером области, занимаемой одним родом в пространстве и времени, хорошо согласуется, с концепцией системной целостности старших таксонов. Лимитированный объем адаптивной зоны старшего таксона может быть поделен либо на небольшое число крупных участков (неспециализированные субъединицы), либо на множество мелких (специализированные субъединицы).
7. Величины ИГР и ПС, по-видимому, могут использоваться для оценки среднего уровня специализированности родов (видов) и среднего размера их адаптивных зон. Как показано в гл. 4, при анализе эволюции конкретных групп удобно пользоваться средним геометрическим ИГР и ПС - величиной A3. Применение этого показателя основано на предположении, что ИГР и ПС в норме всегда изменяются синхронно, а наблюдаемые в реальности различия чаще всего суть результат неточности исходных данных. На практике среднеродовые величины ИГР, ПС и A3 удобно использовать для оценки средней степени специализированности субъединиц надви-дового таксона, а суммарные значения тех же показателей - для оценки общего объема экологического пространства, занимаемого таксоном в данный момент времени (гл. 4).
При сравнении результатов анализа эволюции реальных таксонов, проводимого при помощи показателей ИГР, ПС и A3, с эволюцией модельного таксона (гл. 2) необходимо помнить, что перечисленные показатели отражают в большей степени потенциальную адаптивную зону рода (в модели - константа azi ), а не ее реализованную часть (переменная аi). Таким образом, при анализе конкретных групп (гл. 4) мы фактически пренебрегаем процессами специализации и деспециализации рода, то есть как бы полагаем, что у реальных родов аi = azi. Это упрощение является вынужденным и объясняется особенностями палеонтологических данных (см. выше). Как показывает практика, в определенных пределах такое упрощение допустимо и не препятствует получению удовлетворительных объяснений наблюдаемых процессов в рамках используемой модели (см. гл. 4).
8. Полученные результаты, а именно сходство соотношений показателей разнообразия и специализированности в модельном и реальных таксонах, являются еще одним свидетельством в пользу того, что старшие таксоны являются целостными системами (поскольку про модельный таксой это известно наверняка).
В предыдущем разделе были приведены косвенные доказательства того, что площадь ареала видов и родов в более или менее крупных выборках отражает среднюю степень специализированности этих таксонов. Чтобы получить не косвенное, а прямое подтверждение этого факта, целесообразно обратиться к исследованию современных групп с хорошо изученной экологией, у которых степень специализированности можно оценивать непосредственно (не прибегая к экспертным оценкам или морфофункциональному анализу).
С этой целью были проанализированы данные по современным нетвистоусым рачкам (Cladocera, Crustacea) фауны России и сопредельных регионов.
Кладоцеры анализировались на видовом уровне (182 вида). Для каждого вида рассматривался уровень эврибионтности по четырем параметрам:
1. Эвритермность выражалась в баллах от 1 до 3. Если вид строго холодноводный, или строго тепловодный, или встречается только в иодоемах умеренного пояса, его эвритермность = 1. Если вид встречается и в теплых, и в умеренных водоемах, или в холодных и умеренных, его эвритермность = 2; если во всех трех, то 3.
2. Эвригалинность оценивалась точно так же: в зависимости от встречаемости в вида в пресных, солоноватых и сильно соленых водоемах его эвригалинность составляет от одного до трех баллов.
3. Число биотопов, освоенных видом, из следующих четырех вариантов: дно водоема (бентос), поверхностная пленка (нейстон), толща воды (планктон), макрофиты (перифятон). Разные виды кладо-цер обитают в одном или в двух биотопах из четырех перечисленных.
4. Число типов континентальных водоемов, населенных видом, из шести возможных: озера, реки, ручьи, мелкие пересыхающие водоемы (лужи), стоячие непересыхающие водоемы (пруды), болота. Разные виды кладоцер населяют от одного до пяти типов континентальных водоемов. Моря и океаны нами не учитывались, поскольку морские и океанические кладоцеры - обособленная группа с весьма специфической экологией; усреднять результаты по морским и континентальным кладоцерам нецелесообразно.
Нельзя утверждать, что перечисленные четыре параметра абсолютно независимы один от другого; однако характер распределения их среди видов кладоцер убеждает в отсутствии сколько-нибудь строгих зависимостей.
Исследовалась связь площади ареала с эврибионтностью по каждому из признаков в отдельности. Поскольку данные по современным кладоцерам более полные и достоверные, чем по большинству ископаемых групп, площадь видовых ареалов оценивалась не при помощи ИГР, а более точно: по числу населенных квадратов координатной сетки со стороной в 2,5° по широте и долготе.
Оказалось, что площадь видового ареала у кладоцер положительно коррелирует с эврибионтностью по любому признаку.
У стенотермных видов площадь ареала составляет в среднем 351 (способ вычисления см. выше), у видов с промежуточной эвритерм-ностью - 710, у самых эвритермных - 1969.
У облигатно-пресноводных видов средняя площадь ареала 1002, у облигатно-солоноводных - 32 (таких видов всего пять; напомним, что морские и океанические виды не учитывались). У эвригалинных видов площадь ареала наибольшая - 1108.
У стенотопных видов (только бентос, только планктон и т.д.) площадь ареала составляет в среднем 901; у политопных - 1258.
У видов, населяющих только один тип водоемов, площадь ареала в среднем 515; два типа - 1029, три - 1152, более трех - 1931.
Аналогичные результаты получены нами для современных мух-дрозофилид (см. следующий раздел). У видов дрозофилид, личинки которых наиболее специфичны в выборе субстрата (мицетофаги и зоофаги) средняя площадь ареалов минимальна. Самые обширные ареалы характерны для видов, личинки которых малоразборчивы в выборе субстрата (гетеросапробионты и фитобионты).
В некоторых ископаемых группах, таких как неправильные морские ежи надотряда Spatangacea, экология реконструируется достаточно точно при помощи морфофункционального анализа. Как показано в гл. 4, у спатангацей наблюдается весьма четкая корреляция площади ареала и продолжительности существования рода со степенью его специализированности.
Полученные результаты, на наш взгляд, убедительно показывают, что площадь ареала может быть с успехом использована для оценки эврибионтности в том случае, если эврибионтность нельзя оценить непосредственно (как у кладоцер и дрозофилид) или при помощи морфофункционального анализа (как у спатангацей).
Рассмотренная во второй главе модель имеет ряд существенных ограничений. Фактически, она заведомо упрощает реальную картину, что необходимо на начальном этапе исследований но должно учитываться в дальнейшем. Важнейшими из этих ограничений, по-видимому, являются следующие:
1) Изолированность модельного семейства. В природе развитие каждого таксона, очевидно, связано с развитием многих других групп. Различные аспекты эволюционного взаимодействия развивающихся таксонов рассматриваются на конкретном материале в гл. 4.
2) Постоянство объема адаптивной зоны модельного семейства. В действительности объем адаптивной зоны таксона может меняться под воздействием различных биотических и абиотических факторов, а также их сочетания. Хороший пример такого рода дает радиация бентосных организмов в ордовике, связанная с распространением твердых грунтов, в формировании которых сыграли значительную роль иглокожие [Палмер, Рожнов, 1995]. Другой пример - бурная радиация чешуекрылых насекомых в середине мела, связанная с экспансией покрытосеменных растений, которые явились мощным сре-дообразующим фактором [Козлов, 1988].
Отчасти это ограничение снимается возможностью моделировать одномоментные сжатия и расширения адаптивного пространства, что в случае морских организмов может соответствовать, например, колебаниям уровня моря. Но возможна также и ситуация, особенно в развитии крупных таксонов, когда сама развивающаяся система поэтапно расширяет свою адаптивную зону путем последовательных ароморфных преобразований (или эпектоморфозов по Н.Н.Иорданскому [1988]. Подобный процесс имел место в эволюции морских ежей надотряда Spatangacea. Представители этого отряда в течение долгого времени (с юры поныне) вырабатывали все более глубокие приспособления к жизни в толще различных грунтов и к различным способам питания. При этом освоение потенциальной адаптивной зоны надотряда шло поэтапно. Например, чтобы перейти к полному закапыванию в грунт, спатангацеи должны были сначала выработать адаптации для частичного закапывания. Такую ситуацию можно моделировать двояко: можно говорить о поэтапном расширении потенциальной адаптивной зоны надотряда, а можно представить объем этой зоны примерно постоянным и заданным изначально (как это и делается в описанной выше версии модели), но с существенным дополнением: нужно представить эту адаптивную зону состоящей из ряда участков, причем переход из одних участков в другие не является свободным и равновероятным. Например, для освоения участка Б необходимо сначала освоить участок А, и т.д. Таким образом, мы переходим к обсуждению третьего существенного ограничения предлагаемой модели, а именно:
3) Однородность адаптивной зоны модельного семейства. В реальных таксонах адаптивная зона, очевидно, может обладать сложной внутренней структурой. Единое адаптивное пространство как бы подразделяется на ряд участков, между которыми могут иметься барьеры различной степени проходимости. Эту ситуацию хорошо иллюстрирует современное семейство Drosophilidae (Diptera, Insecta) [Горностаев, Марков, 1995]. Использовалась экологическая классификация дрозофилид по Н.Г.Горностаеву [1995]. Анализ экологии и географического распространения мух-дрозофилид фауны России и сопредельных регионов позволяет составить представление о том, что такое внутренняя структура адаптивной зоны и как эта структура может отражаться в структуре (в том числе таксономической) самого таксона.
Для представителей семейства Drosophilidae важнейшим экологическим параметром, определяющим многие особенности образа жизни и географического распространения, является характер субстратов, в которых развиваются личинки. Разнообразие этих субстратов и типов питания личинок делает дрозофилид удобным объектом для выявления различного рода связей между экологическими, зоогеографическими и таксономическими аспектами структуры надвидового таксона.
Использовались данные не по всему семейству, а только по видам, встреченным на территории бывшего СССР. Многочисленные биогеографические данные свидетельствуют о том, что в историческом развитии региональных фаун крупных таксонов выявляются те же закономерности, что и в развитии мировой фауны. В частности, в пределах отдельно взятых регионов прослеживаются основные фазы эволюционного развития, которые можно выявить при изучении эволюционной динамики таксона в мировом масштабе. На начальных этапах становления как мировой, так и региональной фауны крупного таксона часто отмечается преобладание эврибионтных, устойчивых форм, независимо от того, является ли данный регион центром происхождения группы или районом вселения. Затем наступает период специализации видов и родов, сопровождающийся снижением средней площади родовых ареалов; возрастает уровень эндемизма. Сходная динамика количественных показателей характерна также и для периодов упадка как региональных, так и мировых фаун крупных таксонов. Сходство региональной и глобальной динамики мак-роэволюционных процессов было продемонстрировано, в частности, на примере раннекембрийских археоциат [Naimark, Markov, 1994; Oliver, Pedder, 1994; Наимарк, Розанов, 1997]. Указанное сходство свидетельствует в пользу применимости системного подхода не только к мировой фауне надвидового таксона, но и к отдельно взятым фаунам крупных регионов.
Что касается дрозофилид фауны бывшего СССР, то эта выборка включает примерно половину видов, известных из Палеарктики, в том числе большинство представителей семейства, характерных для Европейско-Сибирской, Среднеазиатской и Палеархеарктической подобластей (по А.П. Семенову-Тян-Шанскому [1936]). Таким образом, рассматриваемая выборка, 'по-видимому, является достаточно представительной.
Исследовались данные по систематическому положению, экологии и географическому распространению видов дрозофилид фауны бывшего СССР. Из 158 видов, отмеченных для этой территории [Горностаев, 1989, 1991, 1992; Сидоренко, 1994], у 38 видов места развития и тип питания личинок неизвестны; таким образом, обрабатывались данные по 120 видам.
Целью исследования было выявление связей между типом питания личинок и следующими показателями:
1. Площадь видового ареала (оценивалась при помощи ИГР). Для каждого из восьми экологических подразделений дрозофилид было вычислено средневидовое значение ИГР. Хотя в работе учитывались только виды, встреченные на территории бывшего СССР, при вычислении площадей видовых ареалов использовались и данные по распространению этих видов за пределами указанного региона.
2. Характер распределения видового разнообразия по территории Палеарктики. Для каждого из восьми экологических подразделений дрозофилид были построены диаграммы, позволяющие визуально оценить характер распределения видового разнообразия по территории Палеарктики. Эти диаграммы представляют собой географические карты, на которых в каждом квадрате координатной сетки со стороной 10° выставлены точки, число которых соответствует количеству видов дрозофилид с данным типом питания личинок, встреченных в данном квадрате (рис. 28). Такие диаграммы дают возможность без применения сложных математических методов представить степень равномерности пространственного распределения разнообразия, наличие или отсутствие локальных центров разнообразия, их число и степень выраженности.
3. Характер распределения видов по таксонам (родам и подродам) в пределах семейства Drosophilidae. Оценивалась степень таксономической обособленности экологических группировок, или, иными словами, степень соответствия экологической и таксономической классификаций. Для каждой из восьми экологических групп был вычислен "коэффициент таксономической обособленности" (ТО) -процент видов, обособленных в отдельные подроды, в составе которых в фауне бывшего СССР нет представителей других экологических групп.
4. Степень аберрантности субстрата (АС) оценивалась экспертным путем по трехбалльной шкале (0 - низкая, 1 - средняя, 2 - высокая). Под аберрантностью субстрата понималась предполагаемая степень отличий данного субстрата от исходного, или первичного субстрата, в котором появились первые дрозофилиды. Субстраты с АС = 0 соответствуют "исходной структуре" по В.Шенборну [1971], а субстраты с АС > 0 - "иммиграционной структуре". Величина АС приблизительно характеризует величину биохимических, физиологических и морфологических преобразований, необходимых для того, чтобы тот или иной представитель семейства перешел к жизни на данном субстрате. Соответственно, величина АС характеризует также и вероятность таких переходов, т.е. вероятную частоту их повторяемости в процессе эволюции дрозофилид.
5. Степень конкуренции с другими двукрылыми насекомыми (СК) тоже оценивалась экспертным путем по трехбалльной шкале (0 -конкуренция незначительная, 1 - средняя, 2 - острая).
Н.Г.Горностаев [1995] выделяет среди дрозофилид фауны России и соседних регионов несколько трофических комплексов и топических групп.
Трофических комплексов четыре: 1) сапротригофаги, 2) мицето-фаги, 3) фитофаги, 4) зоофаги и клептопаразиты. Основная масса дрозофилид относится к первому трофическому комплексу, в названии которого обозначен важнейший компонент пищи этих мух -дрожжевые грибы.

Рис. 28. Пространственное распределение разнообразия дрозофилид бывшего СССР. Число точек в каждом квадрате соответствует числу видов. а - мицетобионты, б - лаханофильные фитосапробионты, в - гетеротопные виды, г - мицетосапробионта, д - ксилосапробионты, е - карпофильные фитосапробионты, ж - гетеросапробионты, з - фитобионты
Fig. 28. Spatial distribution of species diversity of drosophilids (Diptera, Insecta) of the former Soviet Union. Number of black dots in each square reflects the number of species. The larvae of the species live in: a - living fungi, б -decaying fruits with low concentration of ethanol, в - cleptoparasitic or carnivorous larvae, r - decaying fungi, д - decaying wood, e - decaying fruits with high concentration of ethanol, ж - various decaying substrates, з - living plants (phytophagous larvae)
Классификация топической приуроченности дрозофилид по Н.Г.Горностаеву выглядит следующим образом:
1. Фитосапробионты:
1.1. Карпофильные фитосапробионты
1.2. Лаханофильные фитосапробионты
2. Ксилосапробионты
3. Мицетосапробионты
4. Гетеросапробионты
5. Мицетобионты
6. Фитобионты
7. Гетеротопные виды.
Всего, таким образом, на территории бывшего СССР выделяются 8 топических групп дрозофилид, первые 5 из которых относятся к трофическому комплексу сапротригофагов. У мицетофагов и фитофагов тип пищевого субстрата и топическая приуроченность совпадают, т.е. мицетофаги и фитофаги являются соответственно мицето-бионтами и фитобионтами. Особый случай представляет собой трофический комплекс зоофагов и клептопаразитов, которые по характеру топической приуроченности составляют сборную группу гете-ротопных видов, поскольку опосредованно связаны с местообита-ниями своих жертв или хозяев.
Ниже приводится краткая характеристика восьми перечисленных топических групп дрозофилид в порядке возрастания средних значений ИГР.
Мицетобионты:
Личинки представителей этой экологической группы развиваются в живых плодовых телах грибов-трутовиков. Из дрозофилид фауны бывшего СССР к мицетобионтам относится 13 видов. Видовые ареалы невелики по площади; космополитических видов нет. Среднее значение ИГР для группы составляет 7,3 балла.
Пространственное распределение видового разнообразия дрозофилид-мицетобионтов на территории Палеарктики и бывшего СССР отличается резко выраженной неравномерностью. Легко выделяются два центра разнообразия: на Дальнем Востоке и в Европе, причем в первом из этих центров разнообразие гораздо выше, чем во втором. В остальных районах (Сибирь, Средняя Азия, Монголия и др.) разнообразие мицетобионтов минимально. Для удобства изложения назовем такой тип распределения разнообразия "неравномерным асимметричным" (рис.28).
У мицетобионтов наблюдается почти максимально возможная степень таксономической обособленности в пределах семейства. Все виды-мицетобионты относятся к двум родам, причем оба рода в фауне бывшего СССР представлены исключительно видами-мицето-бионтами, а также видами с неустановленным типом питания личинок. Коэффициент таксономической обособленности (ТО) мицетобионтов составляет, таким образом, 100%.
Степень аберрантности субстрата можно оценить как среднюю (АС =1), поскольку, с одной стороны, живые плодовые тела грибов трутовиков по своей биохимии, безусловно, отличаются от исходного для дрозофилид субстрата - гниющих растительных остатков; но эти отличия, конечно, не так велики, как в случае с зоофагами.
Уровень конкуренции с другими двукрылыми у дрозофилид-мицетобионтов также следует оценить как средний (СК =1). Конкуренция в данном субстрате не так остра, как у лаханофильных фито-сапробионтов, но и не так слаба, как в субстратах с высоким содержанием этанола (карпофильные фитосапробионты). Дрозофилиды-мицетобионты достаточно специфичны в выборе субстрата: их личинки развиваются только в трутовиках. Поэтому этих дрозофилид, по-видимому, следует считать экологически специализированными формами.
Лаханофильные фитосапробионты:
Личинки представителей этой группы развиваются в гниющих остатках травянистых растений, не содержащих заметного количества этанола - в разлагающихся стеблях и листьях, а также в овощах. Группа включает 10 видов.
Видовые ареалы лаханофильных фитосапробионтов невелики; среднее значение ИГР составляет 7,4 балла. Виды с космополитическими ареалами отсутствуют.
Пространственное распределение разнообразия точно такое же, как у мицетобионтов: неравномерное асимметричное. Имеются два четко выраженных центра разнообразия, европейский и дальневосточный, причем уровень разнообразия в дальневосточном регионе значительно выше, чем в европейском.
Таксономическая обособленность лаханофильных фитосапробионтов в пределах семейства Drosophilidae весьма высока: ТО = 70% (здесь, как и в других случаях, в расчет принимались только дрозо-филиды фауны бывшего СССР).
Субстрат, в котором развиваются личинки представителей данной группы, является, по-видимому, одним из исходных для семейства типов субстрата (АС = 0) [Starmer, 1981].
Гниющие растительные остатки, не содержащие этанола, представляют собой очень благоприятный субстрат для развития личинок многих двукрылых. Поэтому дрозофилиды, освоившие этот субстрат, по-видимому, испытывают очень жесткую конкуренцию со стороны других двукрылых (СК = 2).
Гетеротопные виды:
Личинки этой группы представлены зоофагами и клептопаразита-ми. Они либо развиваются в гнездах одиночных пчел, где поедают личинок и запасы корма, либо поедают белокрылок (Homoptera, Aleyrodidae). К группе относятся три вида, все со сравнительно узкими ареалами. Среднее значение ИГР составляет 8,3 балла. Первые два вида, распространенные несколько более широко, обитают в Европе; третий, имеющий локальный ареал - на Дальнем Востоке. Таким образом, пространственное распределение разнообразия этой группы (как и двух предыдущих) можно охарактеризовать как неравномерное асимметричное. В отличие от первых двух экологических групп, разнообразие гетеротопных видов в европейском регионе несколько выше, чем в дальневосточном.
Все три гетеротопных вида относятся к подродам и родам, представленным в фауне бывшего СССР исключительно гетеротопными видами и видами с неизвестным типом питания личинок. Коэффициент таксономической обособленности, таким образом, составляет 100%.
Степень аберрантности субстрата, очевидно, максимальная (АС = 2).
Конкуренция с другими двукрылыми едва ли может играть заметную роль в жизни и эволюционной судьбе дрозофилид-зоофагов и клептопаразитов (СК = 0). Эти виды дрозофилид характеризуются сравнительно высокой специфичностью в выборе субстрата: паразитируют только в гнездах пчел определенного рода, питаются только определенными видами насекомых.
Мицетосапробионты: Личинки представителей этой группы развиваются в гниющих плодовых телах макромицетов. Группа включает 25 видов из фауны бывшего СССР.
Видовые ареалы мицетосапробионтов в среднем заметно превосходят по площади ареалы первых трех экологических групп. Среднее значение ИГР составляет 9,5 балла. Виды с космополитическими ареалами отсутствуют.
Видовое разнообразие мицетосапробионтов распределено по территории бывшего СССР несколько иначе, чем в первых трех группах. Хотя у мицетосапробионтов так же отчетливо выделяются европейский и дальневосточный центры разнообразия, однако удельный вес этих центров в общем разнообразии группы примерно одинаков. Такой тип распределения можно условно назвать "неравномерным симметричным".
Распределение мицетосапробионтов по таксонам внутри семейства Drosophilidae резко отличается от такового в первых трех группах. В фауне бывшего СССР нет ни одного подрода, представленного одними лишь мицетосапробионтами; ТО = 0%.
Степень аберрантности субстрата низкая (АС = 0). Об этом свидетельствует, помимо прочего, и тот факт, что существуют виды дрозофилид, личинки которых способны развиваться как в гниющих грибах, так и в вытекающем древесном соке, а последний, по мнению ряда специалистов, является одним из исходных для дрозофилид субстратов [Starmer, 1981]. Таким образом, очевидно, что для перехода от исходного субстрата к гниющим грибам дрозофилидам не требуется значительных биохимических или физиологических перестроек. Очевидно также, что такие переходы совершались в эволюции дрозофилид неоднократно.
Уровень конкуренции с другими двукрылыми можно оценить как средний (СК = I): ниже, чем у лаханофильных фитосапробионтов, но выше, чем у карпофильных фитосапробионтов.
Ксилосапробионты:
Личинки представителей этой группы развиваются в вытекающем соке и разлагающихся тканях под корой деревьев. Эта группа в фауне бывшего СССР наиболее разнообразна и включает 42 вида.
Средний размер видовых ареалов и пространственное распределение разнообразия ксилосапробионтов точно такие же, как у мицетосапробионтов (среднее значение ИГР составляет 9,7 балла, распределение видового разнообразия - неравномерное симметричное). Виды с космополитическими ареалами отсутствуют.
Степень таксономической обособленности низкая: ТО = 24%. Вытекающий сок и гниющие ткани под корой деревьев, по-видимому, являются одним из исходных, первичных субстратов для дрозофилид (АС = 0).
Конкуренция с другими двукрылыми средняя (СК = 1).
Карпофильные фитосапробионты:
Личинки этой группы развиваются в плодах, где идет спиртовое брожение и содержится этанол в значительной концентрации. Группа включает 9 видов.
Видовые ареалы карпофильных фитосапробионтов велики по площади: среднее значение ИГР составляет 12,7 балла. Из 9 видов карпофильных фитосапробионтов фауны бывшего СССР два имеют космополитический ареал.
Тип распределения видового разнообразия можно охарактеризовать как промежуточный между неравномерным асимметричным и неравномерным симметричным; разнообразие на Дальнем Востоке несколько выше, чем в Европе.
Коэффициент таксономической обособленности минимальный (ТО = 0%).
Степень аберрантности субстрата низкая (АС = 0), несмотря на то, что для других двукрылых субстраты с высоким содержанием этано-ла практически недоступны. Для дрозофилид, однако, этот барьер легко проходим, и преодоление его не требует крупных биохимических перестроек. Это подтверждается существованием видов, чьи личинки могут развиваться в нескольких разных типах гниющих растительных остатков, и в том числе в средах с высоким содержанием этанола. Кроме того, очевидно, что переход к развитию в спир-тсодержащих средах происходил в эволюции дрозофилид неоднократно.
Конкуренция с другими двукрылыми для этой группы не имеет заметного значения (СК = 0), поскольку высокое содержание этанола в субстрате является непреодолимым препятствием для потенциальных конкурентов.
Гетеросапробионты: К этой группе отнесены виды, личинки которых способны развиваться более чем в одном из четырех типов разлагающихся растительных субстратов - в грибах; вытекающем соке и гниющих тканях под корой деревьев; в овощах, листьях и стеблях травянистых растений; фруктах).
Группа включает 14 видов. Видовые ареалы гетеросапробионтов очень велики. Среднее значение ИГР составляет 17,4. Группа включает шесть видов с космополитическими ареалами.
Распределение видового разнообразия равномерное: центры разнообразия не выявляются, уровень разнообразия примерно одинаков по всей территории бывшего СССР.
Коэффициент таксономической обособленности низкий (ТО = 14%). Показатель АС для данной группы дрозофилид, очевидно, равен нулю, поскольку личинки ее представителей развиваются в различных субстратах, в том числе и в тех, которые считаются исходными для дрозофилид.
Конкуренция с другими двукрылыми едва ли может оказывать большое влияние на представителей этой группы, поскольку они уходят от всякой конкуренции благодаря крайней неспецифичности в выборе субстрата (СК = 0). Эти дрозофилиды, по-видимому, являются типичными генералистами-эксплерентами [Раменский, 1935, 1938], т.е. животными, у которых обширность доступной области пространства ресурсов (широкая адаптивная зона) компенсирует сравнительно низкую степень приспособленности и конкурентоспособности в каждой конкретной точке экологического пространства. Это подтверждается и тем, что большинство видов-космополитов в этой группе являются синантропными формами.
Фитобионты: Личинки представителей этой группы развиваются в живых тканях высших растений, образуя мины на листьях и стеблях, а также поедают семена в живых соцветиях сложноцветных. Группа включает четыре вида.
Видовые ареалы фитобионтов очень велики, среднее значение ИГР составляет 17,5; космополитических видов нет.
Распределение видового разнообразия по территории бывшего СССР почти равномерное: ни европейский, ни дальневосточный, ни какие-либо другие центры разнообразия сколько-нибудь отчетливо не выявляются.
Коэффициент таксономической обособленности низкий (ТО = 25%).
Степень аберрантности субстрата средняя: явно меньше, чем у зоофагов, но больше, чем у сапротригофагов (АС = 1).
Дрозофилиды-фитобионты неспецифичны в выборе растения-хозяина и могут развиваться в тканях представителей различных семейств растений. Благодаря этой особенности они, по-видимому, легко уходят от конкуренции с другими двукрылыми (СК = 0).
Основные параметры экологических группировок суммированы в табл.5.
Таблица
5. Параметры экологических группировок мух-дрозофилид фауны бывшего СССР
|
Экологическая группа |
Число видов |
ИГР |
Распределение разнообразия |
Таксономическая обособленность (ТО) |
Аберрантность субстрата (AC) |
Конкуренция (СК) |
АС+ СК |
|
Мицетобионты |
13 |
7,3 |
неравномерное ассиметричное |
100 |
1 |
1 |
2 |
|
Лаханофиль-ные фитоса-пробионты |
10 |
7,4 |
то же |
70 |
0 |
2 |
2 |
|
Гетеротопные виды |
3 |
8,3 |
» |
100 |
2 |
0 |
2 |
|
Мицетоса-пробионты |
25 |
9,5 |
неравномерное симметричное |
0 |
0 |
1 |
1 |
|
Ксилоса-пробионты |
42 |
9,7 |
то же |
24 |
0 |
1 |
1 |
|
Карпоф ильные фитоса-пробионты |
9 |
12,7 |
неравномерное ? |
0 |
0 |
0 |
0 |
|
Гетеросапро-бионты |
14 |
17,4 |
равномерное |
14 |
0 |
0 |
0 |
|
Фитобионты |
4 |
17,5 |
тоже |
25 |
1 |
0 |
1 |
Экологические группировки дрозофилид заметно отличаются друг от друга по средней величине ИГР. Значит ли это, что площадь ареала данного вида действительно как-то связана с типом субстрата, в котором развиваются его личинки? Ясно, что любые две группировки видов будут несколько отличаться друг от друга по средним значениям любых количественных показателей: всегда существует так называемый "шум", обусловленный в первую очередь ограниченным размером выборок. Чем больше выборки, тем достовернее средние величины. Таким образом, вопрос заключается в следующем: находятся ли обнаруженные нами различия в пределах вероятного "шума", или они настолько велики, что вероятность случайности незначительна и нужно говорить о закономерности.
Как видно из таблицы 5, средние значения ИГР у мицетобионтов и гетеросапробионтов различаются в 2,38 раза; при этом первая группа включает 13 видов, вторая - 14. Для определения вероятности случайного возникновения столь больших различий мы воспользовались методом Монте-Карло (см. раздел "Методика"): случайным образом выбирались две группы видов дрозофилид соответствующего объема (в одной 13, в другой 14 видов). Затем для обеих групп вычислялось среднее значение ИГР. Эксперимент был повторен 5000 раз. При этом только в трех случаях различие средних значений ИГР в двух группах оказалось столь же велико, как у мицетобионтов и гетеросапробионтов.
Таким образом, вероятность того, что наблюдаемые различия объясняются "шумом", составляет порядка 0,06%, т.е. пренебрежимо мала. Значит, распределение широко- и узкораспространенных видов по экологическим группам не является случайным: можно утверждать с вероятностью свыше 99,9%, что между площадью видового ареала и типом питания личинки действительно существует связь.
Наша задача теперь заключается в том, чтобы попытаться выяснить природу этой связи. Очевидно, она является опосредованной, а не прямой. Чтобы найти связующие звенья, необходимо понять, с какими факторами рассматриваемые характеристики (тип питания и площадь ареала) могут быть связаны непосредственно.
Как отмечалось выше, у многих ископаемых форм средняя площадь ареалов в группе таксонов одного ранга (видов, родов) отражает среднюю степень специализированности этих таксонов.
Разумеется, переносить закономерности, выявленные на ископаемых формах, на современную фауну и флору можно лишь с очень большой осторожностью и коррективами. К тому же данное правило не имеет всеобщего характера и обычно проявляется лишь при усреднении площадей ареалов в более или менее значительных выборках. Во многих экологических группах (в том числе и в топических группировках дрозофилид) космополитичные виды присутствуют наряду с эндемичными. В некоторых особых случаях высокая степень специализированности таксона может даже способствовать его широкому расселению [Чернов, 1975]. Однако в пределах рассматриваемого семейства положительная связь между степенью эвриби-онтности видов и площадью видовых ареалов прослеживается достаточно четко. Так, представители мицетофагов и зоофагов весьма специфичны в выборе субстрата, то есть, по-видимому, специализированы; средние площади видовых ареалов в этих группах самые низкие. Гетеросапробионты и фитобионты, напротив, малоразборчивы в выборе субстрата; соответственно видовые ареалы в этих группах очень велики. Конечно, специализированность может определяться не только специфичностью выбора субстрата для развития личинок, но и отношением данного вида к другим экологическим факторам, как биотическим, так и абиотическим; но для дрозофилид субстрат, в котором развиваются личинки, имеет, по всей видимости, первостепенное значение.
Таким образом, есть основания полагать, что у дрозофилид фауны бывшего СССР, как и других рассмотренных здесь групп, площадь видового ареала непосредственно связана со степенью специализированности видов.
Согласно нашей модели (см. гл. 2), процессы специализации и деспециализации видов во многом обусловлены объемом свободного экологического пространства в адаптивной зоне вмещающего таксона (см. также [Марков, Наймарк, 1994в, 1996а]). Согласно модели, адаптивная зона надвидового таксона имеет определенный объем и состоит из занятой и свободной частей. Занятая часть адаптивной зоны - это экологические ниши видов, существующих в данный момент времени.
Если объем свободной части адаптивной зоны надвидового таксона велик, то видообразование происходит в основном экстенсивным путем, т.е. путем занятия вновь образующимися видами имеющихся экологических вакансий. При этом высока вероятность появления видов-генералистов; внутригрупповая конкуренция не играет большой роли, поскольку вновь появляющиеся виды уходят от конкуренции, занимая экологические вакансии; общий уровень специа-лизированности видов невелик; на каждый вид в среднем приходится большой объем экологического пространства. Как следствие, видовые ареалы в среднем велики по площади. Если же экологических вакансий мало, видообразование идет в основном интенсивным путем: происходит дробление ниш, ведущее к повышению среднего уровня специализированности видов. Отчасти это связано с острой внутригрупповой конкуренцией, отчасти - с невозможностью ухода в свободные области адаптивного пространства. Соответственно, средняя площадь видового ареала уменьшается.
Прежде, чем попытаться оценить объем свободного экологического пространства в адаптивной зоне дрозофилид, необходимо предварительно рассмотреть структуру этой адаптивной зоны.
Если адаптивная зона модельного надвидового таксона представляется однородной, с одинаковой возможностью доступа любого вида в любую из ее частей, то адаптивная зона реального семейства Drosophilidae, очевидно, имеет довольно сложную внутреннюю структуру. В пределах рассматриваемого региона адаптивную зону семейства удобно представить как слагающуюся из семи частей, соответствующих семи основным типам субстрата, в котором развиваются личинки. Эти части неодинаковы по объему; переходы между отдельными частями неравновероятны и различны по степени трудности.
"Центральная" часть адаптивной зоны представлена четырьмя областями, тесно примыкающими друг к другу. Это значит, что виды дрозофилид сравнительно легко могут преодолевать экологические барьеры, разделяющие эти области, что видно по низким значениям показателя ТО. Эти области соответствуют четырем типам сапроби-онтов (ксилосапробионты, мицетосапробионты, лаханофильные и карпофильные фитосапробионты). На некотором расстоянии от них находятся области мицетобионтов и фитобионтов: переход на эти субстраты для дрозофилид - сапробионтов более труден и менее вероятен, чем переход от одного типа сапротригофагии к другому. Область мицетобионтов, вероятно, связана узким переходом с зоной мицетосапробионтов, а область фитобионтов - с областью лахано-фильных фитосапробионтов. Еще дальше от центральных областей отстоит зона зоофагов и клептопаразитов: здесь наблюдается максимальная таксономическая обособленность (ТО = 100%).
В каждой из этих семи областей адаптивной зоны семейства имеется частичное перекрывание с адаптивными зонами других групп двукрылых, выражаемое остротой конкуренции. В одних областях это перекрывание очень велико, как, например, в области лахано-фильных фитосапробионтов, а в других - минимально: область кар-пофильных фитосапробионтов резко отделена от адаптивных зон других двукрылых этаноловым барьером.
Что касается восьмой экологической группы - гетеросапробионтов, то ее особенность в том, что ниши принадлежащих к ней видов не приурочены к какой-то одной из семи областей адаптивной зоны семейства, а захватывают участки сразу нескольких смежных областей.
Можно предположить, что наблюдаемая у дрозофилид связь между ИГР и типом питания личинки обусловлена различным объемом свободного экологического пространства в разных областях адаптивной зоны семейства.
На объем свободного экологического пространства в той или иной области адаптивной зоны дрозофилид могут оказывать влияние многие факторы. Один из них - исторический: чем позднее началось освоение группой данной области адаптивного пространства, тем больше, при прочих равных условиях, там должно оставаться экологических вакансий. К сожалению, нам не известна хронология освоения дрозофилидами различных субстратов.
Из оставшихся факторов важнейшими, по-видимому, являются степень аберрантности субстрата (показатель АС) и уровень конкуренции с другими двукрылыми (СК).
Степень аберрантности субстрата в общем случае характеризует величину эволюционно-экологических потенций дрозофилид в данной области адаптивного пространства. Если АС велика, то, вероятнее всего, потенциально достижимый для дрозофилид уровень приспособленности в данной области адаптивного пространства будет невысок, а конкурентоспособность сравнительно низка. Вероятность перехода того или иного вида на данный субстрат также будет низка; для такого перехода, скорее всего, потребуется весьма специфическое стечение обстоятельств. Иными словами, развитие группы в периферических областях адаптивной зоны (в случае дрозофилид - на аберрантных субстратах) будет ограничено целым рядом различных факторов. Это означает, что, скорее всего, объем доступного дрозо-филидам экологического пространства в данной области адаптивной зоны будет невелик.
Напротив, если степень аберрантности субстрата низкая, то группа, скорее всего, будет обладать в данной области экологического пространства широкими возможностями (объем доступного адаптивного пространства велик). Сказанное в целом согласуется с результатами В.Шенборна [1971], который на примере раковинных амеб показал, что вероятность появления эврибионтных форм наиболее высока в "исходной структуре", то есть в биотопах с АС = 0.
Уровень конкуренции с экологическими аналогами из других семейств двукрылых фактически показывает степень заполненности экологического пространства в данной области реализованными нишами существующих в настоящий момент видов. Чем выше степень заполненности экологического пространства, тем меньше остается там вакансий и тем сильнее, согласно применяемой модели, должна быть тенденция видов к специализации.
Таким образом, экспертные оценки показателей АС и СК могут приблизительно отражать объем свободного экологического пространства в различных областях адаптивной зоны дрозофилид.
Поскольку факторы АС и СК, согласно нашей модели, действуют однонаправленно, целесообразно для оценки объема свободного экологического пространства пользоваться их суммой: показателем АС+СК.
Как видно из таблицы 5, между средней площадью видового ареала (ИГР) и показателем АС+СК существует довольно строгая корреляция (только группа фитобионтов выпадает из общего ряда). Для трех групп с наименьшими видовыми ареалами (мицетобионты, лаханофильные фитосапробионты, гетеротопные виды) величина АС+СК составляет 2 балла, для двух групп со средними по площади видовыми ареалами (мицетосапробионты, ксилосапробионты) АС+СК = 1; для двух групп с самыми обширными видовыми ареалами (карпофильные фитосапробионты, гетеросапробионты) величина АС+СК составляет 0 баллов. Что касается фитобионтов, то необходимо помнить, что эта группа включает всего четыре вида, поэтому статистические данные по ней не обладают высокой достоверностью.
В целом наблюдаемая у дрозофилид обратная корреляция показателей АС+СК и ИГР согласуется с предлагаемой цепочкой связей:
|
аберрантность субстрата + конкуренция |
? |
объем свободного экологического пространства |
? |
специализи-рованность видов |
? |
площадь видовых ареалов |
Легко заметить (см. таблицу 5), что коэффициент таксономической обособленности (ТО) проявляет некоторую корреляцию с величинами ИГР и АС+СК. У мицетобионтсв, лаханофильных фитоса-пробионтов и гетеротопных видов, то есть групп с минимальными значениями ИГР и максимальными величинами АС+СК, коэффициент таксономической обособленности велик и составляет 70-100%. У остальных групп он не превышает 25%. Можно также заметить, что величина ТО лучше коррелирует с АС, чем с СК.
Как объяснить эту связь? С увеличением АС снижается вероятность перехода видов на данный субстрат из центральных областей адаптивной зоны семейства. Такие переходы происходят редко, возможно, лишь однажды или дважды за всю историю семейства. Если такой переход все же произойдет, то он, скорее всего, будет сопряжен с довольно значительными биохимическими и физиологическими перестройками; они могут повлечь за собой и морфологические изменения по адаптивным или нейтральным признакам. Одним словом, при переходе на аберрантный субстрат высока вероятность таких изменений в строении организмов, которые получат отражение в систематике и будут расценены как возникновение в пределах семейства нового рода или подрода.
Подобные механизмы, по-видимому, обеспечивают относительное соответствие таксономической и экологической структуры над-видовых таксонов: более обособленным участкам адаптивной зоны обычно соответствуют и более обособленные в таксономическом отношении комплексы видов. Такое соответствие, по-видимому, является одной из основных причин того, что надвидовые таксоны в процессе эволюции часто проявляют свойства реальных целостных объектов (систем).
Как видно из таблицы 5, типы пространственного распределения видового разнообразия в ряду экологических групп, выстроенном по показателю ИГР, располагаются не хаотично. Фактически, можно говорить о довольно заметной корреляции между ИГР и типом пространственного распределения видового разнообразия (только одна экологическая группа - карпофильные фитосапробионты - выбивается из общего ряда). Действительно, для трех групп с самыми низкими значениями ИГР (мицетобионты, лаханофильные фитосапробионты, гетеротопные виды) характерно неравномерное асимметричное распределение. Двум группам со средними по величине значениями ИГР (мицетосапробионты, ксилосапробионты) свойственно неравномерное симметричное распределение. Наконец, у двух групп с максимальными значениями ИГР (гетеросапробионты, фитобионты) наблюдается равномерное распределение видового разнообразия в пределах рассматриваемого региона.
Характер пространственного распределения видового разнообразия, по-видимому, может быть обусловлен средней степенью специализированности видов в данной экологической группе (так же, как и величина ИГР). Если появившийся вид сильно специализирован, т.е. способен существовать лишь в строго определенных условиях, а именно в тех, в которых он появился и к которым адаптирован, то он скорее всего, не сможет расселиться далеко за пределы района своего возникновения. В результате в центрах видообразования могут возникать скопления эндемичных видов [Наймарк, Розанов, 1995]. Если же появляется вид-генералист, то ему, вероятнее всего, будет не трудно расселиться далеко за пределы района возникновения, поскольку он не так сильно зависит от нюансов локальной экологической обстановки.
Таким образом, характер пространственного распределения видового разнообразия может быть функцией специализированности, как и средняя площадь видового ареала. С другой стороны, сама величина ИГР может непосредственно определять характер распределения разнообразия. Во всяком случае очевидно, что эти два показателя тесно связаны друг с другом и со степенью специализированности видов.
1. У дрозофилид фауны бывшего СССР имеются достоверные различия между средними площадями ареалов видов, принадлежащих разным экологическим группам.
2. Средняя площадь видовых ареалов у дрозофилид, как и других рассматриваемых в данной работе групп, связана прямой зависимостью со средней степенью эврибионтности (неспециализированно-сти) видов данной экологической группы.
3. Выраженность тенденции к специализации у видов, относящихся к данной экологической группе, вероятно, связана обратной зависимостью с объемом свободного адаптивного пространства в соответствующей области адаптивной зоны семейства. Это полностью соответствует одному из важнейших базовых положений модели, описанной во второй главе.
4. На объем свободного пространства в данной области адаптивной зоны надвидового таксона могут влиять, помимо прочих факторов, острота конкуренции с экологическими аналогами из родственных таксонов (в случае дрозофилид это, в первую очередь, другие семейства двукрылых) и степень аберрантности среды обитания (в случае дрозофилид это аберрантность субстрата, отражающая ожидаемую величину биохимических и физиологических перестроек, необходимых для перехода дрозофилиды к жизни на данном субстрате).
5. Между средней площадью видового ареала в экологической группе и суммарной оценкой аберрантности субстрата и остроты конкуренции (АС+СК) выявлена обратная корреляция, что согласуется с выводами 2-4.
6. Степень таксономической обособленности экологической группировки в значительной степени обусловлена степенью аберрантности среды обитания и благодаря этому частично коррелирует со средней площадью видового ареала.
7. Непосредственной связью величины таксономической обособленности со степенью аберрантности среды обитания может объясняться частичное совпадение экологической и таксономической классификаций.
8. С возрастанием средней площади видовых ареалов в экологических группах дрозофилид растет равномерность географического распределения видового разнообразия. Оба показателя, по-видимому, тесно связаны со средней степенью специализированно-сти видов в данной экологической группе.
В целом при моделировании макроэволюционных процессов, безусловно, следует учитывать возможность того, что адаптивная зона крупного таксона не является однородной и может состоять из целого ряда подразделении. Отдельные субъединицы развивающегося таксона могут осваивать разные участки адаптивного пространства одновременно (синхронное развитие крупных субъедиииц) либо последовательно (освоение одного участка делает возможным переход в следующий). В действительности чаще всего в развивающемся таксоне наблюдается сочетание параллельных и последовательных филогенетических циклов субъединиц (см. гл. 5).
Рассмотренный пример с дрозофилидами позволяет предположить, что различные подразделения адаптивной зоны таксона могут отличаться друг от друга не только своим положением в пространстве ресурсов и преодолимостью границ, но и качеством самого пространства ресурсов в том смысле, что одни его участки могут подразделяться на большее, а другие - на меньшее число видовых ниш даже при одинаковом объеме самих подразделений. В приложении к нашей модели это означает, что различным участкам адаптивной зоны должны соответствовать разные значения константы Amin. В одних условиях (можно назвать их "благоприятными") значение Amin будет маленьким, что означает возможность более дробного деления пространства ресурсов между видами. "Благоприятности" может соответствовать, в частности, высокая стабильность (или предсказуемость) абиотических факторов, как, например, в абиссали. В "неблагоприятных" (например, нестабильных, подверженных непредсказуемым изменениям) областях пространства ресурсов Amin велика, и виды, соответственно, будут оставаться сравнительно эв-рибионтными. Впрочем, однородность свойств адаптивного пространства в нашей модели отчасти может оказаться оправданной. Например, по мнению А.П.Расницына [1971] "не следует думать, что в стабильных условиях отбор всегда имеет центростремительное направление, сужая адаптивную зону вокруг оптимума. Напротив, повышение плотности и зависимой от нее смертности в центре зоны создает статистически одинаковые условия в любой точке адаптивной зоны". Тем не менее модель могла бы отражать реальность точнее, если бы мы не задавали "одинаковость условий" изначально, а предоставили бы эту работу формулам.
Достаточно ясно, что значения многих других модельных констант и коэффициентов должны различаться в разных участках адаптивной зоны. Например, по мнению С.В.Мейена [1987] и ряда других авторов, вероятность появления нового крупного таксона выше в областях с благоприятной абиотической обстановкой (например, в экваториальном поясе). Чтобы ввести эту идею в нашу модель, необходимо коэффициенты, используемые в формуле для вычисления вероятности экстенсивной дивергенции, поставить в зависимость от условий в каждом конкретном участке адаптивной зоны. Дальнейшее усовершенствование модели неизбежно потребует учета различных аспектов взаимодействия между субтаксонами, развивающимися в разных участках адаптивной зоны. Например, необходимо учесть отношения доминирования - подчиненности, поскольку в доминирующих группах вероятность интенсивной дивергенции выше (подробнее эта тема обсуждается в главах 4 и 5).
Мы видим, таким образом, что для создания модели, которая могла бы более или менее точно воссоздавать эволюцию какой-либо реальной группы (например, палеозойских мшанок, рассматриваемых в гл. 4) нашу исходную модель необходимо сделать гораздо более сложной. Нужно не только придать гибкость адаптивной зоне такео-на и задать ее структуру (по крайней мере, разделить на разные по "благоприятности" участки с разными значениями Amin), но и заменить все или большую часть параметров и констант функциями, в которых, в свою очередь, будут использованы новые константы и параметры. Ясно, что сложность модели при этом возрастет настолько, что снижение понятности и общепознавательной ценности едва ли будет компенсироваться ростом прогностических возможностей В связи с этим мы сочли целесообразным на данном этапе исследований воздержаться пока от создания таких имитационных моделей, ограничившись разработкой общих теоретических положений, которые в дальнейшем могут лечь в основу следующего этапа компьютерного моделирования филогенеза таксонов. Разрабатывать эти теоретические положения целесообразно, на наш взгляд, в ходе детального анализа эволюции конкретных таксонов, чему и посвящена следующая глава.